Direct, inverse, or neither?
Neither because the line does not go through the origin.
Add the following matrices
TRICK QUESTION: you cannot add these matrices because they are different sizes!
Rotate the point 270 counterclockwise: (-45, 9)
(**give 100**)
(9, 45)
Create a Hamilton circuit.

Answers Vary
Name this character: (**give 100**)

Dr. Nefario
What is the name of the purple ninja turtle?

Donatello
Use the following equation to answer the following. As T increases, what happens to G? (**steal**)
T=5/G
G decreases. Because this is inverse variation, as one variable increases, the other variable will decrease.
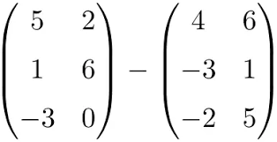
Subtract the following matrices (**+100**)
1 -4
4 5
-1 -5
Write the symbolic rule.
(x,y) --> (x-2, y+9)
Match the following vocabulary terms to the correct definition: minimum spanning tree, Traveling Salesperson circuit, and Hamilton circuit.
1. A graph that connects all vertices exactly one time and and ends where it started
2. A graph that has the smallest amount of weight without creating any circuits and connecting all vertices once
3. A graph that has the smallest amount of weight when connecting all vertices vertices and ends where it started
1. Hamilton circuit
2. Minimum Spanning Tree
3. TSP
What US landmark was a gift from France?
Who painted this?

Vincent Van Gogh
Solve for J: (2/J2)=K+5
(** +100 **)
root2 (2/(k+5)) = J
Which matrices can be multiplied to matrix #1? (**double**)

#3 and #5
Reflect point C across the y axis THEN the x axis.
(5, -1)
Find the minimum spanning tree and its weight.

A-E-C-D weight = 12
B
Who voices Mario in the 2023 "Super Mario Bros" movie?

Chris Pratt
What is the chemical formula for table salt?
NaCl
How many solutions does the following systems of equation have? (**double**)
y=5x+2
-10x=-2y+4
Infinite solutions
Fill in the blanks: (**steal**)
5 2 1.67 0.67
____ x 6 -1 = ___ -0.33
__ 0 8 0
1/3 , 24, 2
Rotate the point 270 degrees counterclockwise THEN translate it down 7 units and to the right by 8 units:
(34, -65)
(**multiplier**)
(34, -65) --> (-65, -34) --> (-57, -41)
Find the minimum spanning tree pathway and its weight:

C
E-A-B-G weight = 71
F
Which of the following is the original Instagram logo?



top right
Name 5 countries that begin with the letter M.
Mexico, Mongolia, Moldova, Maldives, Montenegro, Monaco, Morocco, Malta, Mauritania, Mauritius, Madagascar, Malaysia, Myanmar, Marshall Islands, Malawi, Mali, Mozambique
Solve the following systems of equations by graphing, elimination, or substitution:
y=5x+8
2x-4y=-14
(-1,3)

-4 13
24 -12
The perimeter of square DEFG is 67 inches. Square DEFG is then dilated by a scale factor of 8. What is the perimeter of image D'E'F'G' and the area?
*Don't forget units
perimeter = 536 inches (67 x 8)
area = 4,288 inches2 (67 x 82)
Find the TSP pathway and its weight.

1-3-4-5-2
weight = 13
The song "Obsessed" by Mariah Carey was directed at which music artist?
Eminem
Name that song and music artist:
"It was back in '99, watchin' movies all the time. Oh, when I went away for doin' my first crime..."
Beautiful Girls by Sean Kingston