What value of m makes the equation 7m = 78 ∙ 75 true?
What is 13 .
713 = 78 ∙ 75
Evaluate (9.54 × 106) ÷ (6 × 10-3) . Write your answer in scientific notation.
What is 1.59 × 109
(9.54 × 10^6)/(6 ×10^-3) = 9.54/6 × 10^6/10^-3 = 1.59 × 10^(6-(-3) ) = 1.59 × 10^9
Write the number in scientific notation.
12.78 x 103
1.278 x 104
Simplify.
(x^2)^3
x^6
Anything raised to the power 0 is ____ ?
Anything raised to the power 0 is one.
Which of these expressions are equivalent to equivalent to 54 ?

and 
A newborn opossum weighs about 0.000 287 pounds. What is the weight of the opossum rounded to the nearest ten thousandth pound? Write your answer in scientific notation.
3 × 10 -4 pounds
Write the number in scientific notation.
36,820,000
3.682 x 107
Simplify :
(y^-4)^3
(y^-4)^3 = y^(-4*3) = y^-12 = 1/(y^12)
Simplify
160
1
Which of the following expressions are equivalent to 5-4 ?

and 
What is the value of (8.3 × 10-8) − (5.6 × 10-9) ?
7.74 × 10-8
Expand them out and then subtract. Orrrrr
(8.3 × 10-8) − (5.6 × 10-9) = (8.3 × 10-8) − (0.56 × 10-8) = (8.3 - 0.56) × 10-8= 7.74 × 10-8
Simplify
( 4.11 × 105)( 8.65 × 10-5)
3.555 × 101
(4.11 * 8.65) xx10 ^( 5+(-5)) = 35.55 xx 10^0= 35.55 xx1 = 35.55 = 3.555 xx 10^1
Simplify.
(3x^4)^2
(3^2)(x^(4*2)) = 9x^8
Simplify :
5230
1
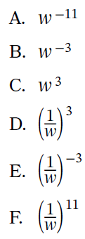
Which expressions are equivalent to
w^-7/w^-4

B and D are equivalent.

True or False ?
The diameter of spider silk is about 8 times as large as the diameter of pet dander.

TRUE ! The diameter of spider silk is about 8 times as large as the diameter of pet dander.
(4 xx 10^-3) / (5xx10^-4) = 0.004/0.0005 = 8
(4xx10^-3)/(0.5xx10^-3) = (4/0.5)xx(10^(-3-(-3))) = 8xx10^0 = 8 * 1 = 8
Simplify
( 7.68 × 102)( 9 × 106)
6.912 × 109
(7.68 * 9) xx 10^(2+6) = 69.12 xx 10^8= 6.912 xx 10 ^9
Simplify :
(3x^2y^6)^2
(3x^2y^6)^2 = (3^2) (x^(2*2))(y^(6*2)) =9x^4y^12
Simplify :
3x0y2
3y2
3x^0y^2 = 3 (1) y^2 = 3y^2
What value of n makes the equation true?
(y^2 *z^0)^3=y^n
What is 6.
(y^2 *z^0)^3=y^6
True or False?
The diameter of a dust mite is about 250 times as large as the diameter of pet dander.

TRUE!! The diameter of a dust mite is about 250 times as large as the diameter of pet dander.
(1.25xx10^-1)/(5xx10^-4) = 0.125 / 0.0005 = 250
(1.25xx10^-1)/(5xx10^-4) = (1.25xx10^-1)/(0.005xx10^-1) = (0.125/0.005) xx 10^(-1-(-1)) = 250 xx 10^0 = 250 * 1 = 250
Simplify
(18 × 109) ÷ (6 × 107)
(18/6) xx10^(9-7) = 3xx10^2
Simplify.
(2x^4y^4)^3
(2^3) (x^(4*3))(y^(4*3)) = 8x^12y^12
Simplify :
5x^2y^0
5x^2y^0 = 5x^2 (1) = 5x^2