Micah's Max
                The domain of f (n) = 2n +1 is {1, 3, 5)
{3, 7, 11} is.....
What is the range
one to one function

6 and -3
What is the minimum and maximum
This test is used to determine if a function is an one to one
the horizontal line test

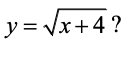
this is not in the domain of this function
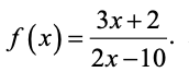
x = 0 x = -3
x = 5 x = -8
What is x = -8

the following is a one to one function
2

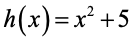
the range of this function if the domain is {-2, -1, 0, 1, 2}
What is {5, 6, 9}

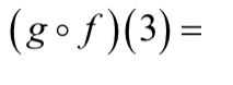
the g(g(0)
9

This value of x doesn't lie in the domain
What is 5

11