Slope & Linear Functions
Solving Equations
Systems & Inequalities
Formulas
Functions, Data & Statistics
Exponentials
Misc
100

Find the slope of the line.

-2/3

100

Pamela solved an equation and her solution steps are below. She made one error and got the wrong answer.  Identify Pamela’s error.

The error is in step 2.  It should be a -1 because 5-6=-1

100

 Find the Point of Intersection of the two lines represented by the following tables.

(-2,-1)

100

The formula for the equation of a line

y=mx+b

100

A data point far from most of the other data points (ex:2, 3, 4, 5, 6, 8, 8, 40. 40 is an_____)

an outlier

100

Write an equation for this graph


f(x)=2*3^x

100

Simplify

2x^3 • 3x^5

6x8

200

Find slope from the following two points: (10, 3) and (5, 1)

2/5

200

Solve the following equation  x+20=2x + 8

x= 12

200

Solve for x

7 - 3x > 19

x < -4

200

Area of a triangle

A = 1/2 * b * h

200

Find the median of the following data.

27, 39, 49, 20, 21, 28, 38, 32

30

200

Is this function growth or decay? Why?

y = 3*(1.5)^x

growth because the b value is greater than 1

200

Find the equation of the line that is perpendicular to 

y =  - 3x + 2 and goes through the point (6, 8)

y=1/3x+6

300

Jason has $350 in his bank account and is able to save $20 each month.  Write an equation to represent the situation

y = 20x + 350

300

Solve for x:

3x+7+5=x+2

x=-5

300

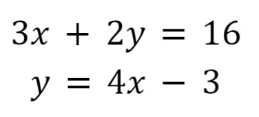
Solve the system of equations

(2, 5)

300

Common name for the following formula:

a2 + b2 = c2

Pythagorean Theorem

300

Given the function f(x)=10x-5, find f(3)

25

300

What is the domain and range of the graph below?

- \infty <=x<=4

0<=y<=infty

300

What is the slope of the line below?

Zero

400

Write an Equation in slope intercept form for the table below

f(x) = 3x + 2

400

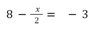
Solve for x:

x = 11

400

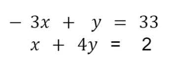
  What is the y coordinate of the solution to the system of equations.

(Hint:  Use elimination)

y=3

400

The point-slope formula

What is y2-y1=m(x2-x1)

400

f(x) = (x+3)/(2x- 5)

Calculate x= 2

f(2) = -5

400

There are 5 bacteria in a petri dish at the beginning, and the number of bacteria doubles every hour.  Write an equation to represent the situation

f(x) = 5*2^x

400

Given the following points A(1,2), B(9,2), and C(9,8), find the length of AC.

10 units

500

Convert the equation to slope-intercept form: 12y+2x=24

y= -1/6x+2

500

Which equation below is No Solution.

A.   3x + 6 = 3x + 6      

B.  5x + 4x + 9 = 9x    

C.  2(x + 1) = 6x   

D.  2x + 1 + 3 = 2x + 4

D

500

Write a system of inequalities to represent the graph below

y>=3x-7

y<-x+5

500

√(x2-x1)2+(y2-y1)2

The distance formula

500

What equation represents the chart.

A.  f(x) = -2x + 9  

 B. f(x) = -2x + 6   

C. f(x) = 2x + 7  

D. f(x) = -2x + 7

f(x) = -2x + 7

500

You invest 25,000 in a bank account.  Because of interest the account grows at a rate of 12% each year.  Write an equation to represent this situation.

y = 25,000 (1.12)x

500

Fill in the missing value of the table

54

M
e
n
u