Simplify using Laws of Exponents: d22 · d12
d34
Simplify using Laws of Exponents: (32)5
310
Solve the system of equations by graphing:
{(y ,=, 3x-5),(y,=,-2x+5):}

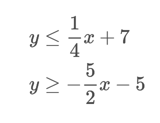
Graph the following system of inequalities


What is the equation for exponential function?
y=A\cdot b^x
Simplify
4(x+y)
4x+4y
Simplify using Laws of Exponents: b12 / b8
b4
Simplify using Laws of Exponents: (x4)3
x12
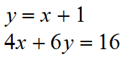
Solve the following system by substitution.

(-3,-2)
Solve by substitution
(1,2)
For the equation of an exponential function., which variable represents the starting amount?
y=A\cdotb^x
A
Simplify
4(2x-3)
8x-12
Simplify using Laws of Exponents: 4x9 / 2x5
2x4
Simplify using Laws of Exponents: (6b12)(3b2)
18b14
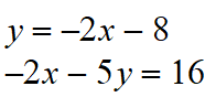
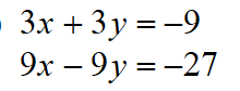
Solve the following system by Elimination.

(5,1)
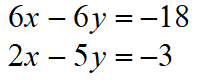
Solve by Elimination
(-3,0)
For the equation of an exponential function., which variable represents the growth factor?
y=A\cdotb^x
b
8,12
4
Simplify using Laws of Exponents:(-2w4)(5w)
-10w5
Simplify using Laws of Exponents: (p5)10
p50
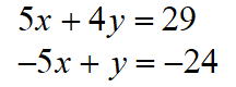
Solve the following by Elimination

(-4,-1)
The sum of two numbers is 40, and the difference between the two numbers is 8. What are the two numbers?
(24,16)
For the following exponential equation of an exponential function, what is the starting amount and what is the growth factor?
y=(0.5)\cdot(1/5)^x
A = 0.5
b=1/5
Factor out the greatest common factor
(8x+12)
4(2x+3)
Simplify using Laws of Exponents: (7a5b6)4
2401a20b24
Simplify using Laws of Exponents: (-3a5b12)5
-243a25b60
Two friends went to an ice cream shop. One friend orders 7 scoops of ice cream with 2 toppings, and pays $18. The other friend orders 7 scoops of ice cream with 3 toppings, and pays $20. How much does each scoop of ice cream cost, and how much is it per topping?
(2,2)
Each scoop cost $2, and each topping costs $2.
A graphic designer charges $25 as a booking fee and $25 per hour. Another graphic designer charges no booking fee and $50 an hour. After how many hours will both cost the same? And for how much?
1 hour, $50
The population of birds at the rain forest is 100. The population doubles every year. What is the starting amount and what is the growth factor?
A = 100
b=2
Find the GCF and factor it out of the expression
3x+6y+12z+15
GCF=3
3(x+2y+4z+5)