Exponents
Equations
Linear Functions
Geometry
100

(43)2

46

100

One Sol, no sol, or infinitely many?


Infinitely many the right side simplifies to 8x-2

100

What is the slope of the line?

m=3

100

Describe the transformation.

A reflection across the y-axis.

200

x2=196

x= 14 or -14

200

Would the following system have one solution, no solution, or infinitely many solutions?

x+y=3

x+y=8

No solution.  When graphed, both have a negative 1 slope but different y-intercepts.  Therefore the lines are parallel.

200

What is the equation of the line?

y=3

200

Describe the transformation.

Rotation 180 degrees

300

x3=-8

x=-2

300

Solve for t:

t=1/5

300

Which has a greater rate of change?

B

4/3 > 1

300

Which equation would you use to find the missing side length?


C.

400


Simplify.  No negative exponents.

1/9  or 1/32

400

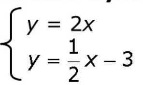
Solve the system and enter your answer as an ordered pair.

(-2,-4)

400

Write the equation for the linear function.

y=x-6

400

Point X(-1,4) is rotated 90 degrees clockwise.  What are the coordinates of X' ?

X'(4,1)

500


 53 or 125

500


D

500

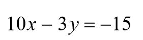
Rewrite in slope-intercept form.

y=10/3x+5

500

Point A(-4,1) is reflected across the line y=x then translated up 3 units.  What are the coordinates of A' ?

A'(1,-1)

M
e
n
u