True or false:
Is 14X and 5X like terms?
TRUE
In the slope-intercept formula, M represents what part of equation?

SLOPE
In this picture, what is the Y-INTERCEPT
4
When multiplying exponents, what happens to the BASE (the big number or variable) when they are the same?
A) They get multiplied
B) They stay the same
C) You add them
B ) They stay the same
What math bingo word means "THE OPPOSITE"
Ex:
The opposite of addition is subtraction
INVERSE
Simplify the expression using the distributive property:
3 ( 6 + 2A )
18 + 6A
In the slope-intercept formula, B represents what part of equation?

Y - intercept
Identify the slope in the following graph:

4/3
When dividing exponents, what operation is done to the EXPONENTS ( the little numbers or variables )
A) Subtraction
B) Addition
C) Multiplication
A) Subtraction
What is the inverse of multiplication?
DIVISION
Evaluate the equations:
64 = 8 ( R + 2 )
6
In the slope-intercept form, X represents what part oF the equation?
SLOPE
What is the slope in the following graph:
UNDEFINED
Evaluate the equation:
Y^4 * Y^6 * Y^2 * Y
Y^13
What do we call a letter, or symbol, for an unknown number?
VARIABLE
Evaluate the question:
6M - 2 = 2M + 6
2
Using the table given, identify the slope:

5.5 or 5 1/2
Do parallel lines have:
A) one solution
B) infinite solutions
C) no solution
NO SOLUTION
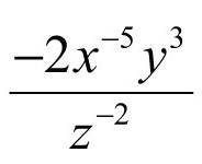
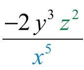
20^8/5^3
4^5
Regents exams will ask you to plot ordered pairs on the coordinate plane. What is another word for "COORDINATE PLANE"?
GRAPH
In solving multi-step equations, what is the property used with parenthesis? *HINT* - multiplication
Distributive Property
Find the slope using the slope formula of the ordered pairs ( 2 , 6 ) and ( 8 , 11 )
5/6
What is the linear equation in the following graph:

Y = 3/2 X + 1
Evaluate the following: (*HINT* - party on the top and party on the bottom)

What is the REGENTS verbiage, of saying POINT on a graph?
ORDERED PAIR