How many Iron Man movies are there?
What is 3?
Miss Golden was driving and she noticed that for 3 gallons fo gas she was able to drive 78 miles. How many miles per gallon was she able to drive?
What is 26 miles per gallon?
Convert
7/16
into a decimal and percent
What is 0.4375 and 43.75%?
This English teacher has been on the set of Sesame Street.
Who is Miss Mercedes?
Solve the expression to identify the year The Civil War ended.
2(3,100-1,600)-1,135
What is 1865?
Who plays Katniss Everdeen in The Hunger Games?
What is Jennifer Lawrence?
A 64-ounce container of juice costs $6.50. A 48-ounce container of the same juice cost $4.25. Which size container is the better buy? (Must show all work to receive points)
What is the 48-ounce juice?
Write the mixed number as an improper fraction.
6 2/7
What is
44/7
?
This 703 teacher can not ride a bike.
Who is Miss Garrett?
If someone says they are
96/6 *2 -5
old. How old are they?
What is 27?
What are the names of the seven dwarf's?
What is: Dopey, Sleepy, Doc, Happy, Grumpy, Bashful, Sneezy?
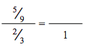
Find the missing value in the picture:

What is
15/18
?
What is
13/18
as a decimal and percent?
What is 
This 7th grade teacher used to be a mailman.
Who is Mr. Mitariten?
You are shopping for new clothes. You found a pair of jeans for $15 and five t-shirts that cost $12 each. You found a coupon to save $5 off the pants. What is the total of your purchase without tax?
What is $70?
What position does Harry Potter play in Quidditch?
What is a Seeker?
You estimate that you can do 12 math problems in 45 minutes. How long should it take you to do 20 math problems?
What is 75 minutes?
At the state fair 4 employees were paid $8.18 an hour. They worked for 10 hours at their regular salary, and then for 3 hours at overtime salary (an extra $2.18 an hour). How much money did they make total?
What is $451.52?
This 7th grade teacher has her picture used for White Castle.
Who is Miss Clavell?
Solve the following expression to determine what year the first Apple computer was created.
2000/4 +(17*14)+1500-262
What is 1976?
Name all of the Marvel Avengers that died in Infinity Wars.
Who is:
Loki, Gamora, Vision, Black Panther, Spiderman, Doctor Strange, Vision, Winter Soldier, Scarlet Witch, Groot, Drax, Mantis, Star-Lord, Nick Fury, Maria Hill.
(Name at least 7 Correct)
Ned created a video that was originally 40 minutes long, but he ended up cutting it by 8 percent. How long was his video after cut it?
What is 36.80 minutes?
At noon the temperature was -3oC. Over the next four hours the temperature dropped another 15 degrees. Then every hour until 7:00 the temperature rose 2 degrees. What was the temperature at 7:00?
What is -12oC?
Which Bronx Park teacher designed and sewed a ball gown?
Who is Miss Golden?
Miss Golden told you that the new Avenger: End Game movie is
(8+5) xx 35/5 +6^2 + (11*5)
minutes long. How many minutes long is the movie?
What is 182 minutes long?