The year 2025 is special because it is a perfect square, with 2025 = 452. What was the last perfect square year before 2025?
a. 1934
b. 1935
c. 1936
d. 1937
C. 1936
What is the sum of the interior angles of a pentagon?
540°
A circle has the equation x2 − 6x + y2 − 8y = 0. What is its radius?
a. 3
b. 4
c. 5
d. 7
c. 5

For which value of a does ax2 − ax + 1 have two solutions? Full mark will only be given if you show your solution. No solution = wrong answer.
a. √3
b. 2√2
c. √13
d. 2√5
D. 2√5
A polyhedron is a solid figure with flat polygonal faces, straight edges, and vertices. Which of the following is a polyhedron with 8 triangular faces?
a. Tetrahedron
b. Octahedron
c. Dodecahedron
d. Icosahedron
b. Octahedron
Which of the following is NOT true about probability?
a. The probability of an event is between 0 and 1, inclusive.
b. A probability of 0 means that an event is impossible.
c. A probability of 1 means that an event is unlikely.
d. The sum of the probabilities of all possible outcomes of an event is 1.
c. A probability of 1 means that an event is unlikely.
While journeying along the Yellow Brick Road, Dorothy stopped by a fruit stall. She bought 2 apples and 3 bananas for PHP 110. Later, the Scarecrow bought 4 apples and 9 bananas from the same fruit stall and paid PHP 280. How much does a dozen bananas cost?
PHP 240

An isosceles right triangle with legs each of length 10 is inscribed in a circle. What is the area of this circle?
50pi

Based on usage, what does the acronym “WLOG” mean in mathematics?
a. Without loss of generality
b. Within logic or guesswork
c. With logarithms
d. Which leads to our goal
a. Without loss of generality
Dorothy Gale starts her walk along the Yellow Brick Road at the point (0, 0) on a coordinate grid. With each step, she can move exactly one unit north, south, east, or west. If the Emerald City is located at the point (25, 26), what is the least number of steps Dorothy Gale can take to reach it?
51
A hemisphere is half of a sphere. A giant ice cream cone is formed by joining a hemisphere of radius 3 m to the open top of a cone that has a height of 7 m and a radius of
3 m. What is the total volume of the giant ice cream cone?
39 pim%^3
Andrew, Bart, Charlie, Dennis, Eggbert, and Florence are to sit around a circular table. Charlie and Dennis are in a relationship and so they must sit next to each other. How many ways are there for these six people to sit around the table?
40
What is the smallest positive integer that can be expressed as the sum of two positive integer cubes, in two distinct ways?
a. 1027
b. 1729
c. 3059
d. 3500
b. 1729
Consider a linear system with 2 equations and 2 variables. Which of the following is not possible?
a. The system has no solutions.
b. The system has exactly one solution.
c. The system has exactly two solutions.
d. The system has infinitely many solutions.
c. The system has exactly two solutions.
Tiles for the word MATHVENTURE are put in a bag and shaken. I take 8 tiles from the bag. What is the probability that I will get tiles for the word NUMERATE?
2/165

The FBI National Academy has a yellow brick road spanning 6.1 miles. If Dorothy takes 2 feet per step, how many steps will it take for her to travel that yellow brick road? Clue: the answer is greater than 16000 but less than 17000.
1604

Set Theory is a branch of mathematics that explores collections of objects called sets. Emerging in the late 19th century, it changed the way mathematicians think about numbers, functions, and infinity. This branch began with the work of one brilliant mathematician, now known as the Father of Set Theory. Who is this person?
a. Leonhard Euler
b. Alan Turing
c. Georg Cantor
d. Galileo Galilei
c. Georg Cantor
An irrational number is a real number that cannot be expressed as a fraction p/q, where p and q are integers. Two examples of irrational numbers are π and √2. Consider the following statements about irrational numbers.
1. If x and y are irrational numbers, then x + y is an irrational number.
2. If x and y are irrational numbers, then xy is an irrational number.
Which of the following best describes the two statements?
a. Only Statement 1 is always true.
b. Only Statement 2 is sometimes true.
c. Both statements are always true.
d. Both statements are sometimes true.
d. Both statements are sometimes true.
Ms. Reyes, Mr. Castro, and Mr. Fajardo has neighboring square plots of land as shown in the image. Ms. Reyes’ land has an area of 100 sq. km., while Mr. Castro’s and Mr. Fajardo’s plots have an area of 49 sq. km. each. If Ms. Reyes decides to buy her neighboring lands, what is the perimeter of her new plot of land?
62 km
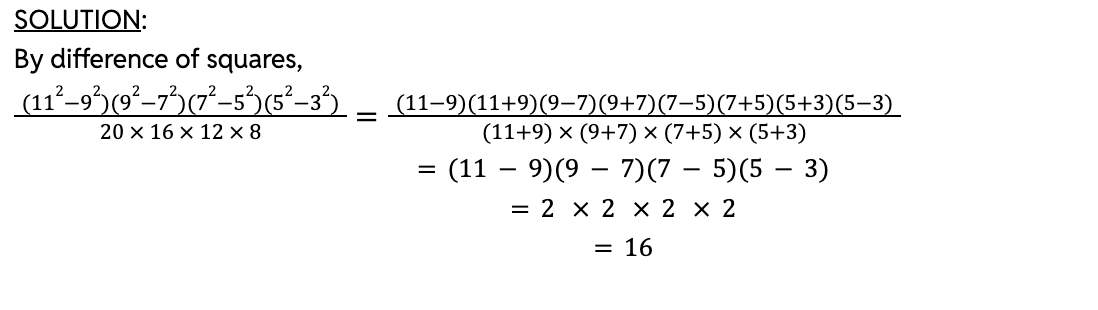
Evaluate
16
