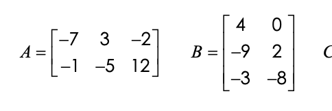
What are the dimensions? 
3 X 2
True or False:
In order to add matrices, the dimensions must be the same. If False, what is the rule?
TRUE
What button do you press on your calculator in order to get to the matrix functions?
2nd ----- x-1
Calculate the determinant. 
det|A| = 62
Which answer choice shows a matrix equation?
a. ax=b
b. ax + by = c
c. AX=B
C. AX=B
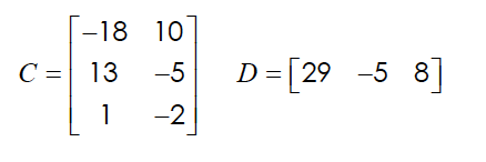
What are the dimensions?
2 X 2
True or False:
In order to multiply matrices, the dimensions must be the same. If False, state the rule.
FALSE.
m X n * n X p

det|A| = -141
How do you solve a system of equations using matrices?
What are the dimensions? 
1 X 4





Use your calculator to add the following.

What is the inverse of the following matrix, if it exists? 


What is a13? 
0





Calculate the inverse of the following matrix, if it exists.

No inverse

What is the address for 6?

a24



Use your calculator to find the determinant of the following.

Calculate the inverse of the following matrix, if it exists. 


Create the following matrix.
a11= 10
a12=6
a22=5
a21=-9
10 6
-9 5



Use your calculator to calculate the inverse of the following.

Are the following matrices inverses of each other? Explain? 

