What is the slope of the line of this graph?


C) zero
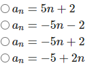
Write an equation for the graph. Select two that apply.


A and C
Finish the lyric.
Do you ever feel like a plastic bag, ________ _______ ___ ____, _______ __ _____ _____
drifting through the wind, wanting to start again. -Katy Perry
Determine whether the sequence is an arithmetic sequence.
-3, 1, 5, 9...
It has a common difference of 4, it is an arithmetic sequence.
y = 15
What is the slope of the line of the following graph?


D) undefined
Graph the linear function with the following slope and y-intercept.
slope: -2 y-intercept: 8


A
Who sings the song titled "California Dreamin'"?
The Mama's and The Papa's
Find the common difference of the arithmetic sequence.
0.02, 1.08, 2.14, 3.2...
d = 1.06
Solve 6x - 9y = 2 for y.
y=2/3x-2/9
Write an equation in slope-intercept form that passes through the points (0, 2) and (2 ,-4).
y = -3x + 2
Graph the function.
5x + 2y = 8


C
Finish the lyric.
You can dance, you can jive, having the time of your life, oooooh see that girl, watch that scene _______ ___ _______ _____.
digging the dancing queen. - ABBA

A) Yes, there is a common difference.
B) No, there is no common difference.
B) No, there is no common differece.
What are the solutions to the equation? Select all that apply.
|x-8|=24
B and E
Write the equation in standard form.
2y+3=-1/3(x-2)
x+6y=-7
Find the x- and y-intercept of the graph of the following equation: 2x - 7y = 14
x-intercept: 7
y-intercept: -2
Which of the following is not a Taylor Swift lyric?
A) All my flowers grew back as thorns.
B) In black ink my love may still shine bright.
C) And then the cold came - the dark days when fear crept into my mind.
D) It rains when you're here and it rains when you're gone.
B) In black ink my love may still shine bright. -Shakespeare
Shelby collects hats. The total number of hats Shelby collects depends on how many years she has been collecting hats. After the first year, Shelby has collected 10 hats. Each year she has added the same number of hats to her collection. The graph shows the sequence.

Part A: Write an equation for the arithmetic sequence.

Part B: How many hats will Shelby have in her collection by year 16?
Part A: C
Part B: 130

g(-3)=12
The perimeter of a square is four times the length of one side. If the side length of a square is 1 centimeter, then the perimeter is 4 centimeters. Write an equation in point-slope form to find the perimeter y of a square with a side length of x.
y-4=4(x-1)
Determine where the function in increasing/decreasing.

Decreasing: x > -2.5
Increasing: x < -2.5
Finish the lyric:
Say _____ ___ ______ have you seen them yet? Oh but they're so spaced out, B-B-B-Bennie and the Jets.
A) Katie and Arnie
B) Candy and Remy
C) Katie and Ronnie
D) Candy and Ronnie
D) Candy and Ronnie
Use the given arithmetic sequence to write an equation. Then, find the 67th term in the sequence.
-3, -8, -3, -18...

C; -333


A, D, E