Expressions
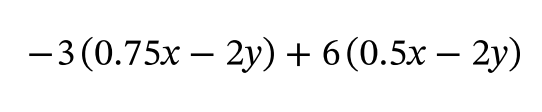
Fully simplify the following expression. Show your work.

-3(0.75x)- -3(2y) + 6 (0.5x) - 6(2y)
-2.25x + 6y + 3x - 12y
3x + -2.25x + 6y - 12y
0.75x - 6y

Write an equation that solves for X.
Solve the equation for double points!
AJB and BJC are complementary. They add up to 90.
(5x - 11) + 36 = 90
5x + 25 = 90
5x = 65
x = 13

x = 21

-2 > 7 + -3/8 x
-9 > -3/8 x
-9x-8/3 < x
24 < x
Create an expression equal to 360 degrees to represent the situation. Simplify!

3y + x + (2x - 60) + 52 + (x + 15)
3y + 3x - 8 + x + 15
3y + 4x + 7

The range of the amounts of time water can flow without the pool overflowing is between 0 and 14 minutes.