Impulse
Momentum
Random Physics Stuff
Random momentum stuff
Really random stuff
Collisions
Calculations
Thinking about that MO
100

The letter that is used to represent impulse

What is J?

100

This letter is used to represent momentum

What is p?

100

This Greek philosopher was the first to talk about motion

Who was Aristotle?

100

State Newton's Third Law

What is forces come in pairs?

100

Colors of the Swedish flag

What are blue and yellow?

100

In all types of collisions, in the absence of an external force, this is always conserved

What is momentum?

100

What happens to the momentum of a moving object if the mass is tripled?

What is the momentum also triples?

100

An eighteen wheeler crashes into an empty bike.

How do the forces compare between the force the eighteen wheeler receives and the force the bike receives

What is they are equal?

200

Besides being equal to the change in momentum, this is a way using words to describe impulse

What is a force multiplied by how long it acts?

200

Provide a physical example of a situation where momentum can be transferred?

Answers will vary The Honorable Doc Weeks

200

Elon Musk has an undergraduate degree in this field

What is PHYSICS?

200

The colors of a rainbow

What is ROYGBIV?

200

What physics quantity is conserved only in perfectly elastic and not perfectly inelastic collisions?

What is kinetic energy?

200

If the impulse (J) of a rocket engine is 5,000 Ns and the Force is 500 N, how long did the engine last?

What is 10 seconds?

200

A huge dump truck is moving and crashes into a Toyota Prius that is moving.  Both eventually come to a stop.

Make a statement about the final momentum of both

What is they both have no final momentum?

300

The formula AND correct units for impulse.

What is J = F x t    and N s ?

300

The two factors that make up momentum AND the correct units for momentum

What are mass and velocity and kg x m/s?

300

The guy who proved Newton's ULOG and the three things that his experiment showed.

Who is Henry Cavendish and what is forces can act through empty spaces, forces can act over distances, and he calculated the value of G?

300

The original definition of force that Newton published in 1687

What is a change in momentum over time?

300

The first name of the current King of England.

What is Charles?

300

A box is sliding left at 10 m/s and runs into an identical box that is not moving.  The two boxes stick together and slide away.  If the collision is inelastic, what is the new velocity (include direction)?

What is to the right at 5 m/s?

300

A 0.145 kg baseball is thrown to the right at +30 m/s and hit back at -50 m/s.  If the bat was in contact for 0.01 seconds.  How much force was required hit the ball?

What is -1160 N or 1160 N?

300

A 1966 Mustang has no crumple zones.  A 2024 Mustang MACH-E has crumple zones.  Explain why under identical conditions you would rather be in the 2024 Mustang if you crash into a stone wall.  Your answer must include impulse, force and time.

Doc Weeks will judge

400

Explain the demo of the egg hitting the wall and the egg hitting the sheet.

Explain the impulses in both, the change of momentum in both, and the relative force and time in both

Answers vary

400

Name five physics quantities that are vectors

What is displacement, force, velocity, momentum, acceleration, and force?

400

These three books published by Isaac Newton in 1687 are considered to be one of mankind's greatest intellectual achievements

What is Principia?

400

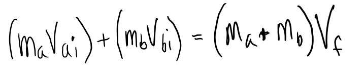
The formula for an INELASTIC collision

What is 

400

Four German car brands

Mercedes Benz, Audi, Porsche, and BMW

400

How could you prove is a collision was perfectly elastic versus a perfectly inelastic collision?

Answers vary.  See if kinetic energy was equal before and after the collision

500

Properly explain the physics behind the broken egg versus the unbroken egg demo that we did in class

Must mention impulse, time and force in the answer

What is the impulse (change in momentum) for both eggs was the same, but J=Ft for the broken egg and 

J =fT for the unbroken egg

500

Name two of the "mother sauces" of French cuisine

What are hollandaise, tomato (sauce tomat), bechamel, Espagnole, and veloute?

M
e
n
u