The powerhouse of the cell is this organelle
What is the mitochondria?
Apple is founded by this person
Who is Steve Jobs?
In statics, this is the sum of all forces
What is 0?
The E in PEMDAS stands for this step in the mathematic process
What is exponent?
2 + 2
What is 4?
The 3 phases of the cell cycle are these
What is interphase, mitosis, and cytokinesis?
The top two processors manufacturers are these companies
Who is AMD & Intel?
In binary code, the number 15 is this
What is 1111?
1, 4, 9, 16, 25, 36, ...
This is the next number in the sequence listed above
What is 49?
Smoothie King has discounted smoothies on this day
What is Friday?
They three domains are responsible for classifying all life on Earth are these
What are Prokaryotes, Archaea, and Eukaryotes?
The shortcut to copy on a MacBook are these two keys
What is Command-C?
The proper name for this bone is
15x2 + 36x - 3
Is the derivative of which function
What is 5x3 + 18x2 - 3x + C?
This man is known as 'The Father of Genetics'
Who is Gregor Mendel?
These are the three subcategories of RNA
What is mRNA, tRNA, and rRNA?
You can go here to type in commands on Windows 10
What is Command Prompt?
This circuit setup is commonly known as

What is a parallel circuit?
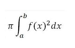
This is the function for finding the volume of a disk
What is ?
This man is responsible for the first practical telephone
Who is Alexander Graham bell?
This type of fat was a double bond to oxygen in place of a hydrogen bond
What is an unsaturated fat?
The 5th generation technology standard for broadband networks is this
What is 5G?
The equation below is representative of this law
What is Coulomb's law?
The Fundamental Theorem of Calculus states this
What is the antiderivative of an integrand allows for the definite integral to be evaluated by taking the antiderivative at the endpoints of the interval and subtracting?
This President is the only one to have two nonconsecutive terms
Who is Grover Cleveland?