A _______ ______ is the simplest function of the family.
What is Parent Function?
State the transformations for the function, f(x)=1/2|x−9|−1.
What is V.C. by 1/2, right 9 and down 1?
Formula for the average rate of change

Increasing and Decreasing intervals are
x-values or y-values
X- Values
State the domain.
What is ℝ?
Name my favorite meal?
Sushi or Chick fil a
A ______ _____ has a parent function of f(x) = x, and passes through all points with coordinates (a,a).
What is Linear Function?
State the transformations for the function, f(x)=−5(x+10)2+11.
What is ROX, V.S. by 5, left 10, and up 11?
What is the rate of change of the ordered pairs (3,-2), (-2,9) ?
11/-5 -11/5
Min and Max

Min : -4
Max: 4
State the range.
What is
y>=1?
What high school did I go to?
Millard North
The ______ ________ ______, denoted as f(x) = l x l, has a V-shaped graph.
What is Absolute Value Function?
The absolute value equation that is translated right 5 units.
What is f(x)=|x−5|?
What is the average rate of change the ordered pairs (4,-5), (2,7) ?
12/-2 -6

What is a decreasing interval?
State the range.

What is
y<=7?
how many degree or degrees do I have and what are they in?
Mathematics
Secondary ED
Name the graph Shape made by the function,
f(x) = x2.
What is Parabola?
The quadratic equation that is reflected over the x-axis, and translated down 4 units.
What is f(x)=−x2−4?
What isn the average rate of change from [-2,2]
-3/2
The decreasing interval:
What is (150,300)?
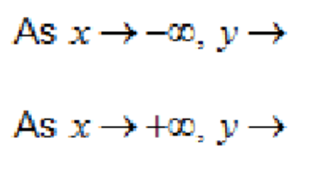
State the End Behavior


-inf
+inf
What is my Dog's Name?
Louie
Name the function that has the parent function, f(x)=x2.
What is Quadratic Function?
The quadratic equation that is vertical compressed by a factor of 1/3, translated left 8 units, and translated up 7 units.
What is f(x)=1/3(x+8)2 + 7?
rate of change: change in y/ change in x
Change in value is weight of winning dogs from 2013 and 2010 ( 50 and 35). Change in time is 2010-2013
50-35/ 2013-2010 subtract
15/3 = 5 simplify

What is the Increasing Interval
Increasing on an interval
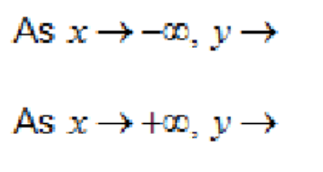
State the End Behavior


y---- -Inf
y---- -Inf
What sports do I coach?
Tennis
Volleyball
Wrestling