Simplify -|-4|
-4
Simplify the following: p + p + p
3p
Solve the following equation: x + 36 = -40
x = -76
Express the following ratio in simplest form:
144: 132
12: 11
Determine if the value of x is a possible solution:
x < 6 x = 3
Yes
Evaluate the following: (-2) + 5 + (-3)
0
Add 7x – 2y – 4z to -2x + 3y – 5z
5x + y - 9z
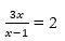
Solve the following equation: 
x = 12
John spent $120 on 8 concert tickets. How much did he spend per ticket?
$15
If m > n, then -m _____ -n
-m < -n
Find the GCF of the following numbers: 28, 63 and 91
7
Simplify the following: 4a – [5a – (3 + 2a)]
a + 3
Solve the following equation:
x = -2
Adam attempts 65% of the questions on a test. If he attempts 52 questions, find the total number of questions on the test.
80 questions
Solve for x:
x > -0.5
A flashing bulb on a Christmas tree flashes once every 10 seconds. Another bulb flashes once every 15 seconds. If they are flashing together now how long will it take for the two bulbs to next flash together?
30 seconds
The daily wage of a worker is given by the expression $15t, where t is the number of working hours. What do you think the number 15 represents?
Hourly wage
Solve for x:

x = 42
Jack runs at an average speed of 4 mph for one hour. He then bikes 6 miles at 12 mph. Find his average speed for the whole journey.
6.67 mph
A school needs to raise $45,000 and has 800 students. If every student donates the same amount, how much must each student donate to reach the target? Create an inequality for how much money each student will have to raise to reach their goal.
x ≥ $56.25
A helicopter flying at 120 meters above sea level detects a submarine. If the submarine is 39 meters below sea level, what is the vertical distance between the helicopter and the submarine?
159 meters
After arranging some oranges in 6 rows that each hold (2m – 3) oranges, there are 5 oranges left. What is the total number of oranges?
6(2m - 3) + 5
OR
12m - 13
George wants to participate in a race where he has to swim, bike, and run. The biking distance is 4 times the running distance. The swimming distance is 6 miles less than the running distance and is 27 miles less than the biking distance. Find the total distance of the race.
36 miles
135 students go for a vision test. 20% of them are found to be near-sighted. How many students are near-sighted?
27 students
The maximum electric current on a power strip is 13 Amperes (A). A lamp that requires 0.5A of current is already plugged into the outlet. How many hairdryers, requiring 3A each, can be plugged into the outlet? Write the answer as an inequality.
x < 4 hairdryers