x + 12 = -9
-21
most populous state in the US
California

x = 9
Are pumpkins a fruit or a vegetable?
Fruit!
Bobby likes to hike the trails near his house. On Saturday, he spent 4 hours hiking 8 miles. On Sunday, he plans to hike 12 miles.
If he hikes at the same rate, how many hours will he spend hiking on Sunday?
6 hours
-27k=135
-5
highest grossing fast-food pizza chain in the US
Domino's
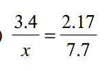
Solve this proportion (AND ROUND TO THE NEAREST HUNDREDTH)
2/x=8/9
x=2.25
What is the #1 ranked candy/chocolate in America?

Reeses Peanut Butter Cups
(For several years in a row now)
Britney just got a new video game for her birthday. Yesterday, she played for 27 minutes and beat 3 levels. Today, her parents said she can play for 45 minutes.
If she beats levels at the same rate, how many levels should Britney beat today?
 
 
16
The best-selling soda in the US
Coca-Cola (Coke)
Solving Proportions
6/10=15/x
x =25
How much do American spend on Halloween candy every year? (An estimate is fine)
$2.6-$3 billion
Once a month, volunteers clean up litter at the beach. Last month, the volunteers picked up 8 pounds of trash in 4 hours. This month, they will spend 3 hours picking up trash.
If they pick up trash at the same rate, how many pounds of trash should the volunteers pick up this month?
6
4x + 3 = 7
x = 1
the warmest state in the US
Florida

36
The first Jack-o-Lantern wasn't a pumpkin, what was it carved out of?
Turnips!
The Statue of Liberty is about 300 feet tall and about 30 feet wide. The town of Unionville is building a smaller model for their Fourth of July celebration. Unionville's statue will be 3 feet wide.
How tall should Unionville's statue be?
30 feet
DOUBLE POINTS
30 - 9k = (70 - 4)
-4
Average annual snowfall in Minneapolis-Saint Paul area
About 54 inches per year
Solve this proportion (AND ROUND TO THE NEAREST HUNDREDTH)
x=12.06
Where did Halloween come from?
(Double Points if you know the original festival name AND country/culture)
Halloween has its roots in the ancient Celtic festival of Samhain in modern day Ireland
Rick's chore list shows that he is responsible for washing the dishes after dinner this week. Last night, he washed 4 plates in 2 minutes. Tonight, his grandparents are coming to dinner, and Rick will wash 6 plates.
If he washes plates at the same rate, how many minutes will it take Rick to wash the plates tonight?
3