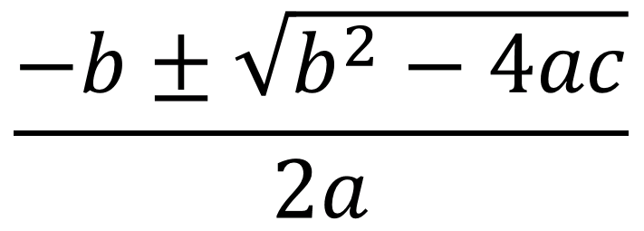
What is the quadratic formula?

What is factoring?
Finding what to multiply together to get an expression. It is like "splitting" an expression into a multiplication of simpler expressions.
x2-3x-4
(x-4)(x+1)
1+1/1x1
1
A certain company's main source of income is a mobile app. The company's annual profit (in millions of dollars) as a function of the app's price (in dollars) is modeled by
P(x)=-2(x-5)(x-9)
What would be the company's profit if the app price is 0 dollars?
Substitute x for 0 then solve
(-2)(-5)(-9)=-90
Solve using quadratic formula.
Stop at radicals in simplest form.
2x2+10x-5

Factor
x2+7+12
x=-3,-4
2y2+11y+12
(2y+3)(y+4)
Solve for x
x2+2x+1
x=-1
You plan to build a house that is 1.5 times as long as it is wide. You want the land around the house to be 20 feet wider than the width of the house, and twice as long as the length of the house, as shown below.
Solve for the space the house doesn't take up.

A ball is shot from a cannon into the air with an upward velocity of 40 ft/sec. The equation that gives the height (h) of the ball at any time (t) is:
h(t)= -16t2 + 40ft + 1.5. How long did it take for the ball to reach the ground?

Factor
-3x2+7x-4
x=1,4/3
9x2-30p+16
(3p-2)(3p-8)
What is the sum quad 5's and 3 times a number which is a in number form.
54+3a
4x4-2323+4551
What number appears the most?
4
An object is launched at 14.4 meters per second (m/s) from a 43.2-meter tall platform. The equation for the object's height s at time t seconds after launch is s(t) = –3.6t2 + 14.4t + 43.2. When does the object strike the ground?

What is x
x2+1115x+4444
-4,-1111
x2-11x-42
(x-14)(x+3)
How many terms are in 4941x+18y+59z2+4444z
4 terms
If a picture is 7 cm by 11 cm, how much did the dimensions increase by if the new area is 117 cm2?
Each side increased by 2 cm
There's a frame on the ground, with a piece in the middle that measured 6in by 11in, if the area of the whole rectangle is 28, what is the width of the frame.

Simplify
4(x+6)2(x-7)
5x3+20x2-192x-1008
9y4+45y2+14
(3y2+14)(3x2+1)
Solve for x
x2-7-44
x=-4,11
What are 3 different ways to solve a quadratic equation?
quadratic formula,finding the square, factoring