2x = 4
x = 2
+700
LCM of 4 and 8
8
+500
4) ON CANVAS ASSIGNMENT
x = -7
+800
What is white and smells like paint?
white paint
go to first by 100 pts
2x + 3 = 3
x= 0
steal 400 pts
LCM 7 and 5
35
steal all points from 1 team
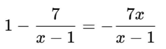
2) ON THE CANVAS ASSIGNMENT
No solution
+900
Animal con mas dientes?
raton
+1500
3x + 5 = 20
x =5
+800
LCM 1/4 and 1/5
20
+700
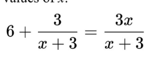
1) ON CANVAS ASSIGNMENT
x = 3
steal 700 pts
sing 10 seconds of Fragil
lose all your points
2 (x + 3) = 18
x =6
donate 600 pts
LCM of 6 and 9
18
steal 600
5) ON CANVAS ASSIGNMENT
X = 0
donate 600
What is it called when the restriction is your answer?
___________ solution.
extraneous
+1000
x + 1 = x + 1
All Real Numbers
+800
LCM of 1/13 and 1/4
52
rock paper scissors with last place for 1000 pts
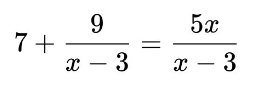
3) ON CANVAS ASSIGNMENT
x = 6
+900
Donde hay rios sin agua, ciudades sin casas, y bosques sin arboles?
un mapa
+700