La variable que es cambiada o manipulada por el experimentador.
¿Cuál es la variable independiente?
________ es la rama de la ciencia que estudia la relación entre los organismos vivos y su entorno.
¿Qué es la Ecología?
Todos los seres vivos están hechos de...
¿Qué son las células?
movimiento de moléculas desde áreas de alta concentración a áreas de baja concentración sin necesidad de energía
¿Qué es la difusión?
6CO2 + 6H20 + Energia -> C6H12O6 + 6O2
¿Qué es la fotosíntesis?

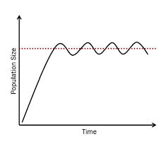
¿Qué es la capacidad de carga?
La variable que se mide
¿Qué es una variable dependiente?
Cuando ambos organismos se benefician de la relación
¿Qué es una relación mutualista?
Estructura celular donde se produce la síntesis de proteínas....
¿Qué son los ribosomas?
Diffusion of water across the plasma membrane.
¿Qué es la ósmosis?
Utiliza la energía de la luz solar para hacer "alimento" en las plantas.
¿Qué es el cloroplasto?
Se refiere al entorno natural de un organismo.
¿Qué es Hábitat?
El grupo ______ se mantiene en condiciones normales y no recibe el tratamiento experimental.
¿Qué es el grupo de control?
Los productores son seres vivos que crean su propio alimento.
¿Qué son los productores?
Ellos son los bloques de construcción de proteínas.
¿Qué son los aminoácidos?
Un orgánulo que está involucrado en el movimiento de las moléculas.
¿Qué es una membrana celular?
Este orgánulo es responsable del empaquetamiento y envío de proteínas a través de la célula.
¿Qué es el aparato/cuerpo de Golgi?
Este orgánulo limpia y elimina los desechos de la célula.
¿Qué son los lisosomas?
Es una manera de aumentar la validez de un experimento
¿Que es tamano de muestra?/ ¿que es numero de repeticiones?
Esto sucede cuando una perturbación impacta una comunidad clímax o una comunidad intermedia. El suelo y los nutrientes todavía están presentes.
¿Qué es la Sucesión Ecológica Secundaria?
Estructura de la célula donde se produce la respiración celular...
¿Qué es la mitocondria?
__________ el proceso de mover moléculas a través de una membrana celular mediante el uso de energía celular
¿Qué es el transporte activo?
Es una suposición fundamentada de lo que sucederá durante su experimento.
¿Qué es una hipótesis?
Este orgánulo se encuentra solo en las células vegetales y protege y apoya a la célula.
¿Qué es la pared celular?
Proporcione un ejemplo de una hipótesis que probaría cómo la luz afecta la altura de una planta
Si aumenta la cantidad de sol, la planta crecerá más alta.
Los percebes que viven en los costados de las ballenas son un ejemplo de _______
¿Qué es el Comensalismo?
_________ son células vegetales especializadas en la epidermis de hojas, tallos y otros órganos que se utilizan para controlar el intercambio de gases y la pérdida de agua.
¿Qué son las células de guardia?
Es una característica de una molécula que determina si puede atravesar la membrana celular.
¿Cual es el tamaño?
Consumidor primario en una pirámide alimentaria.
¿Qué es un herbívoro?
Necesito ________ minutos de laboratorios para ser regente en LE.
¿Cuánto son 1200 minutos?