What is the horizontal shift and vertical shift in terms in algebraic functions?
Evaluate f(x)=x2-3 if x=2
What is 1?
Determine if this relation is a function.
What is a function?
What type of function does this graph show? 
What is Linear function?
This function is increasing, decreasing, or constant over the entire domain.
What is increasing?
The three transformation rules of a.
What is reflecting across the x-axis, vertical stretch, and vertical compression?
Evaluate f(x)=√x. Find x=25 and x=-9.
What is 5 and no solution?
Determine whether this relation is a function:
What is not a function?

Is this function linear, quadratic, or exponential?
What is Exponential Function?
This function is increasing, decreasing, constant, or none of the following over the entire domain.

What is decreasing?
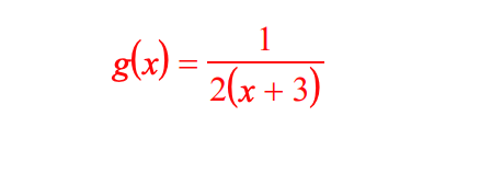
Write the transformation function: 
What is...

Evaluate g(x)=x2 - x if g(x+1)
What is x2 + x?
Determine which relation is a function:
Option A:

Option B:
What is B?
The definition of a piecewise function
What is a function that is defined by different equations for given x- intervals?
This function is increasing, decreasing, constant, or "none of the following" over the entire domain.

What is none of the following?
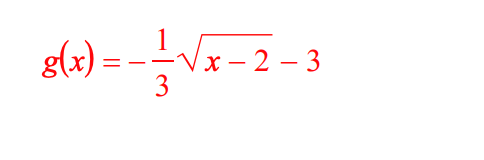
Write the transformation function:

What is ...
Evaluate g(x)=x2 - x for 2g(x)+g(3).
What is 2(x2 - x)+6 or 2x2 - 2x+6 ?
Determine whether this graph is a function or not. If it is not a function, what rule or property explains it so?

What is a function?
Because the horizontal
line intersects the graph
in two places, this is not
a function.
This is incorrect. What mistake was made?
What is a function and use the vertical line test?
The formula for the average rate of change.
What is m= (y2-y1)/(x2-x1)?
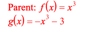
Identify the parent function and write the equation for the function given below:

What is..


What is 0, -1, -1, and ±6?
Determine whether this graph is a function or not. If it is not a function, what rule or property explains it so?

What is not a function since it does not pass a vertical line test?
Which Function is non-linear?

Table A is non-linear (Quadratic)
Name the x-intervals where the function is
(a) increasing
(b) decreasing
(c) constant
decreasing: (0,3)
constant: (-4,0)