Find the area of this rectangle


Find the area of this right triangle

Area of a triangle --> 
140 cm2
Find the volume of a cube that has a side length of 3 cm

Volume --> Area of Base x Height
Base of a cube is a square
3x3x3 = 27 cm3
Find the volume of this triangular prism

Volume --> Area of Base x Height
Base shape is a right triangle with base 4 and height 3;
area of a triangle --> 

Find the area of a square with a side length of 10 inches
All side lengths in a square are equal.

Find the area of this equilateral triangle

Area of a triangle --> 
15 in2
Find the volume of this rectangular prism

Volume --> Area of Base x Height
Base is a 4 x 4 square
4x4x6 = 96 cm3
Find the volume of the triangular prism

Volume --> Area of Base x Height
Area of triangular base is 117 ft2
117 x 4 = 468 ft3
Find the area of the parallelogram

Area of a parallelogram --> base x height

Find the area of this triangle

Area of a triangle --> 
31.5 cm2
Find the volume of a rectangular prism that has a length of 10 units, a width of 4 units, and a height of 5 units

Volume --> area of base x height, where base is a rectangle
10 x 4 x 5 = 200 units3
Find the volume of a triangular prism that has a base area of 21 in2 and a height of 4 inches.
Volume --> Area of base x Height
Area of triangular base is 21 in2,
21 x 4 = 84 in3
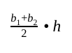
Find the area of the trapezoid

Area of a trapezoid --> 

Find the area of this triangle

Area of a triangle --> 
25 ft2
Find the volume of this rectangular prism

Volume --> Area of Base x Height
Base is a 7.5 x 2 rectangle
7.5 x 2 x 3 1/3 = 50 cm3
Find the volume of the triangular prism

Volume --> Area of Base x Height
Base shape is a triangle with base 6 ft and height 4.5 ft
