State the gradient and y intercept of the equation y = 3x - 8
Gradient = ____
Y intercept = ____
Gradient = 3
Y intercept = -8
State the points according to their x and y axis.

Point 1: (-3, -1)
Point 2: (1.5, 3.5)
State whether the following linear equations are parallel, perpendicular or neither:
y = 4x - 9 and y = 4x +7
Parallel
The probability of Zeke winning his football game is 45%. What is the probability of him not winning his game?
55%
A coin is flipped and a three sided die is rolled (1, 2, 3). Create a two way diagram or tree diagram and list all of the possible outcomes.
Double Points: What is the probability of flipping a heads and a odd number.
Double points: 1/3
State the y intercept

2
Find the x intercept:
2x + y = 6
Hint: x intercept when y = 0
x intercept is (3,0)
ξ={1,2,3,4,5,6,7,8,9,10}
Find the P(B)

1/2
Find the gradient of the line.
Hint: rise/run or change in y / change in x

gradient = 2
Find the y intercept:
2x + y = 6
(0,6)
State whether the following linear equation is parallel, perpendicular or neither.
y = 2x - 5 and y = -2x + 4
Neither
ξ={1,2,3,4,5,6,7,8,9,10}
Find the P (A ∪ B)

7/10
Two three sided dices are rolled (1, 2, 3)
a) Complete a two-way table.
b) Extra points: Calculate the probability of P(a double).

Extra points: P = 1/3
If x = 3 find y using the rule:
y = 2x - 4
y = 2
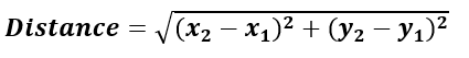
Find the distance between the points A(-1, 5) and B(3, -2).
Hint:

8.06
ξ={1,2,3,4,5,6,7,8,9,10}
Find the P(A')

7/10
A uber cost $5.50 flat fee plus $2.25 per kilometer. Using the rule where C = cost and d = distance
C = 2.25d + 5.50,
find how much it would cost if you drove 15km.
$39.25
Find the distance between the points below:
6.71
State whether the following linear equations are parallel, perpendicular or neither:

Perpendicular
A card is picked from a shuffled pack of 52 cards. Calculate P(a club or a queen or a '6' is picked)
19/52
A bag contains 3 green, 4 red and 3 white marbles. Calculate the probability of choosing 2 red marbles without replacement.
2/15