Preschool
Elementary
Middle School
High School
Mix of Everything
100

Name a day of the week.

Sunday, Monday, Tuesday, Wednesday, Thursday, Friday, and Saturday

100

The Sun is a _____.

star

100

Indiana is the _____ state.

A.) 13th

B.) 16th

C.) 18th

D.) 49th

B. 16th

100

______ rocks are formed from magma that cools and solidifies within the crust of the planet.

A.) extrusive

B.) intrusive

C.) obsidian

D.) big 

B. intrusive

Extrusive would be the opposite. Extrusive rocks are formed on the surface of the Earth from lava, which is magma that emerges to the surface.

100

Name a color from the rainbow.

ROYGBIV

200

Name this shape:


Circle

200

If Maya has 24 cats and gives 20 cats away, how many cats does Maya have now?

4 cats

200

Find the correct adjective that would best describe the noun:

Dad is always ______ when he sees the mailman.

A.) excitedly

B.) slowly

C.) jittery

D.) frolicking

C. jittery

200

Body mass index (BMI) is a ratio of a person's weight to his or her

A.) age

B.) height

C.) activity level

D.) basal metabolic rate

B. height

200

What is the capital of Nevada?

Carson City

300

Spell your name.

J-O-N

L-E-A-H

T-O-M-M-Y

T-A-M-M-Y

300

Which continent is Mexico in?

North America

300

Coal, oil, and natural gas are all what type of fuel?

A.) nuclear

B.) fossil

C.) atomic

D.) fuel for a car

B. fossil

300

Which is considered as the oldest civilization of the world ?

A) Mesopotamian Civilization

B) Harappan Civilization

C) Chinese Civilization

D) Egyptian Civilization

A.

300

'The Raven' was written by whom?

Edgar Allan Poe

400

Name an animal that roars.

Bear, lion, tiger, etc.

400

Which of the following organs is also a muscle?

A.) The Lungs

B.) The Kidney

C.) The Brain

D.) The Heart

D. The Heart

400

Solve for x:

4x+ 10= 70

A.) 12

B.) 25

C.) 10

D.) 15


D. 15

400

Helping others is considered _____.

A.) unrelated to biology

B.) a cultural instinct that hampers evolution

C.) a recent cultural phenomenon

D.) a biological instinct that furthers evolution

D.

Psychology question!

400

_____ is a chemical element with the symbol C.

A.) Coral

B.) Chlorine

C.) Carbon

D.) Chlamydia

C. Carbon

500

Name something that is hot and something that is cold.

I can't put everything that is hot and cold.

500

Which weighs more, a pound of feathers or a pound of bricks?

A.) feathers

B.) they are the same

C.) bricks

D.) The one that hurts your foot more

B. They are the same

500

Which of the following things is the first you should do before handling any food?

A.) Put some music and touch the wall

B.) Make your mouse some cheese

C.) Take the trash out

D.) Wash your hands

D. Wash your hands

500

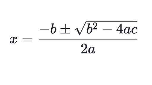
What is this formula?
A.) Absolute Value Formula

B.) Quadratic Formula

C.) Polynomial Formula

D.) Johannesburg The Catholic

B. Quadratic Formula

500

How many total Electoral College votes are there?

A.) 538

B.) 270

C.) 358

D.) 438

A. 538

  • 435 U.S. Representatives from the 50 states
  • 100 U.S. Senators from the 50 states
  • 3 members of the Electoral College from the District of Columbia
M
e
n
u