UK
Australia
USA
Hong Kong
Maths
100

Is the UK in the EU

Nope

100

name two animals in australia

dog, cat

100

What does USA means?

United States America

100

What’s the main problem in Hong Kong?

The air pollution

100

12 + 7 x 3

33

200

Is That the flag of the UK?

No

200

What’s the great barrier reef?

a colorful coral reef

200

What’s the capital of the USA

Washington DC

200

How many people live in Hong Kong?

7,6 million (+- 1 million)

200

Is it a quadratic or linear function?

2+5x=33-9x

linear function 

300

Name all states in the UK!

Scotland, England, Wales, northern Ireland

300

How many kangaroos live in australia?

Joker

300

How many states are in the USA?

50

300

In which century became Hong Kong a chinese city?

In the 20th century

300

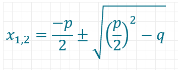
name the p q formel

400

You are lucky (joker)

uWu

400

name a famous mountain in australia

Uluru

400

What is the US national bird?

an eagle

400

Congratulations! 

Joker! Juhuuuu

400

How do you calculate the surface area of a circle? (formel)

500

name all capitals of the states of the UK!

England: London

Scotland: Edinburgh

northern Ireland: Belfast

Wales: Cardiff

500

What’s the capital of australia?

Canberra

500

What is the largest US state by land area?

Alaska 

500

To which county did Hong Kong belong before it was given back to China?

It was a british colony.

500

count the first ten numbers of pi

Joker Juhu

M
e
n
u