Solve for x:
x/32 = 4/5
x = 25.6
According to SSS Similarity, what do two triangles need to have in order to be similar?
All corresponding sides must be propotional.
Solve for x given triangle SRT is similar to triangle CBD.

x=8
The ratio of angles in a triangle is 3:5:8. Find the measure of the smallest angle.
x = 11.25, smallest angle = 33.75 degrees
Congruent triangles are always similar triangles.
True or False
True
Who won the first Superbowl?
Green Bay Packers
△ABC ~△DEF, Perimeter of △ABC=25u, AB=5u, DE=6u
What is the perimeter of △DEF?
Perimeter △DEF=30u

State if the triangles are similar or not and then what similarity statement makes it so.
YES, by AA Similarity

Complete the similarity statement.
Triangle DCB
Find y.
y=5
The diagram is an example of this type of segment.

What is an Altitude?
What galaxy does Earth belong to?
The Milky Way
Given two equilateral triangles with sides 16 and 20, respectively, what is the scale factor of the smaller triangle to the larger triangle?
16/20 = 4/5 = 0.2

State if the triangles are similar or not and then what similarity statement makes it so.
NO, not similar
Solve for x given △VUW~△SUT.

x=11
Find b.
b=30

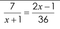
x = 33.6
What year was the first iPhone released?
2007
Solve for x.
2/3 = (x+3)/(4x)
x=9/5, 1.8
What is it called when the lengths of two sides of one triangle are proportional to the lengths of two corresponding sides of the other triangle and the included angle is congruent?
SAS Similarity

(BE)/(EC)=?/(FC)
DF

Solve for x.
x = 9
What "special" line is shown in the triangles? Use that information to find x. 
medians, x = 19.8
How many bones does a shark have?
none

x = -23/2, 11

State if the triangles are similar or not and then what similarity statement makes it so.
YES, by SAS Similarity

Are the triangles similar? If so, complete the similarity statement.
NOT SIMILAR

Given the angle bisector, solve for x.
x=5
Can you prove congruence? If so, write a triangle congruence statement and state which theorem you are using.
△DEF ≅ △HIG by SAS
If you bowled a perfect game, what would your score be?
300