One-Variable Adding
x+7=12
What is x=5

x-5=18
What is x=23

x/12=2
What is x=24

5x=45
What is x=9

2x+3=13
What is x=5

x+15=6
What is x=-9

x-23=-4
What is x=19

x/5=17
What is x=85

12x=96
What is x=96

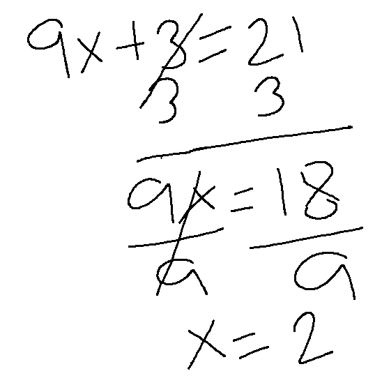
9x+3=21
What is x=2

x+23=-8
What is x=-31

x-33=14
What is x=47

x/4=8
What is x=32

7x=56
What is x=8

x/8+12=14
What is x=16

(20+4)+x=42
What is x=18

-x-8=15
What is x=-23

x/2=947
What is x=1894

5(6x)=180
What is x=6

(x/4)-19=-7
What is x=48

What is x=-19

x-(23-80)=-43
What is x=-100

(99/3)/x=3
What is x=11

18(4x)=432
What is x=6

(3(8)/4)+x-9=5

What is x=8
