Factor 2v+6
2(v+3)
2(x+4)
2x + 8
-4x - 2x + 1
-6x + 1
How many terms in this expression?
-3x + 4 - 2
3
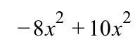
Simplify
2x2
Factor 24x-18
6(4x-3)
3(2x - 6)
6x - 18
5 + 2x - 1 + 8x
10x + 4
What are the coefficients in this expression?
-7x + 5y - 21
-7 and 5
Simplify
-4t-5+4t
-5
Use Distributive Property to remove the Parenthesis -(-4b-5c+7)
4b+5c-7
-2(-5z + 2)
10z - 4
12 - 7x + 4
-7x + 16
What are the coefficients in this expression?
3x + 5 - 6y
3 and -6
Write the Expression for the Perimeter of this shape in simplest form.

21x + 22
or
22+21x
Use Distributive Property to remove the parenthesis. -6(-4v2-3+3x3)
24v2+18-18x3 or -18v3+24v2+18
Simplify
-3y - 24
-9x - 4x - 3x
-16x
How many terms in this expression?
3x - 4 + 6x - 2 + 1
5 terms
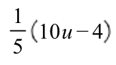
Use the distributive property to remove the parentheses. Simplify your answer as much as possible.
2u-4/5
Use Distributive Property to remove the parentheses. (1-4x+5y)(-7)
-7+28x-35y or 28x-35y-7
Simplify
-4(2x-5)-3(-3x+4)
x+8
-8x + 4y + 3x + 1
-5x + 4y + 1
OR
4y - 5x + 1
What are the coefficients in this expression?
5x + 4 - 12x -10
5 and -12
Simplify -2(4u+3)-3u
-11u-6 or -6-11u