2x + 2y = -2
y= -3
Solve for x
x= 2
2x + 3y = -12 -4x - 3y = 30
(-9,2)
Solve the system with a graph. y=x+2 and y=-x+2
(0,2)
3-10b=2b-9
b=1
What is the solution to the system of equations?

No Solution
2y + x = 0
y= x - 6
Solve for x
x=4
3x + 4y = 16 -5x - 4y = -16
(0,4)
Solve the system with a graph. y= 1/2x + 2 and y= -x+5
(2,3)
6x+10=1x
x=-2
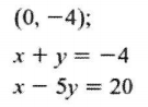
Is the point a solution to the system of equations?
Yes
-2(y) + 10x = 46
y= (-2x + 19)
Solve for x
x= 6
5x + 4y = 20 5x + y = 20
(4,0)
Solve the system with a graph. y=2x-1 and y=x+1
(2,3)
4n+13=n-8
n=-7
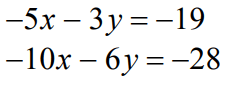
How many solutions to the system of equations?
No Solution
2x + 4y = 24
y= 4x - 30
Solve for x
x= 8
x + 4y = 10 3x - 4y = 30
(10,0)
Solve the system with a graph. x=6 and y=4
(6,4)
7a+10=2a
a=-2
What type of solution?

Infinitely Many
3x + 6y = 33
y= -2x + 19
Solve for x
x=9
5y - x = 25 4x - 5y = -10
(5,6)
Solve the system with a graph. y= -x+3 and -2x+y= -6
(3,0)
2z-31=-9z+24
z=5
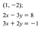
Is the point a solution to the system of equations?

yes