How many solutions does this system of equations have?

What is 1.
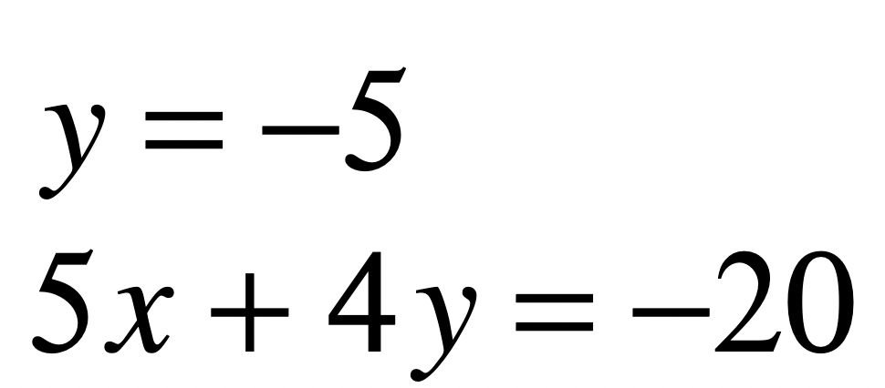
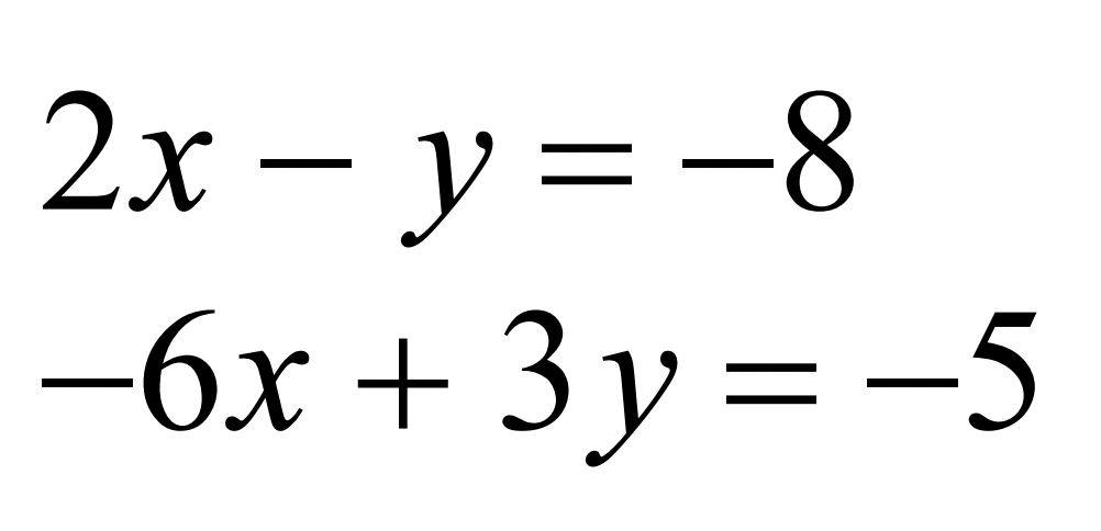
What is the solution to this system of linear equations? (Hint: One of the values is already given to you)
What is (0,-5)
In the equation below, what is the way that you can tell there are no solutions without solving the problem?
5x + 7 = 5x + 1
What is the fact that the coefficients are the same but the constants are different.
In the word problem below, what would be the "let statements"? (You do not need to solve).
You and a friend go to Tacos Galore for lunch. You order three tacos and three burritos and your total bill is $11.25. Your friend's bill is $10.00 for four tacos and two burritos. How much do tacos cost? How much do burritos cost?
What is
Let x be the cost of a taco
Let y be the cost of a burrito
When we say "System of equations", what does the word "system" mean?
What is at least 2 equations.
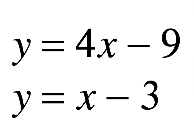
What is the solution to this system of linear equations?
What is (3,5)
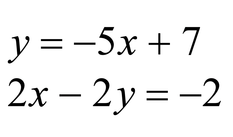
What is the solution to this system of linear equations?

What is (2,-1)
Solve for x.

x = 5
What would the "let statements" be as well as the equations for the following word problem?
"Wendy had 35 coins in pennies and nickels. She had $1.03 total. How many of each coin does she have?"
Let p be the number of pennies
Let n be the number of nickels

There are 3 different types of solutions to systems of equations. What are they?
What is 1, none, or infinitely many solutions.
This system of equation has _________ solutions.

What is none, 0, or no solutions.
What is the solution to this system of equations?

What is (1,2)
How many solutions does this equation have?

What is infinitely many solutions.
The perimeter of a garden is 150 feet. The length is 7 feet more than the width. What is the system of equations that could be used to determine the dimensions of the garden?
What is
2L + 2W = 150L = 7 + W
When solving an equation, how can you tell that there will be infinitely many solutions? Give an example.
What is the coefficients and the constants are the same.
Ex:
6x - 7 = 6x - 7
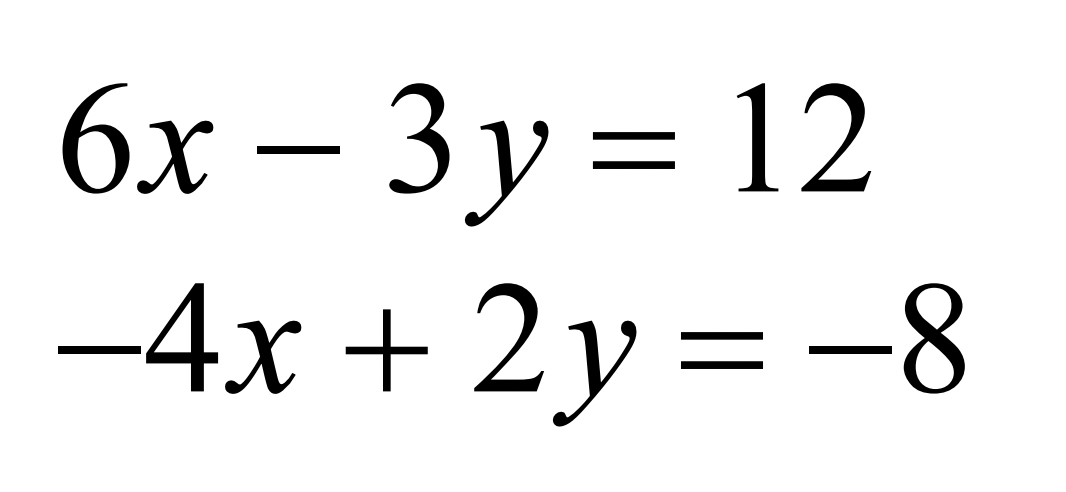
In this system of equations, there are ___________ solutions.
What is "infinitely many"
What is the solution to this system of equations?

What is infinitely many solutions.
What is the solution to this equation?

What is x = 0.
All 231 students in the Math Club went on a field trip. Some students rode in vans which hold 7 students each and some students rode in buses which hold 25 students each. How many of each type of vehicle did they use if there were 15 vehicles total?
What is 8 vans and 7 busses.
Name the two types of linear equations we have learned this year.
y = mx+b is called _________.
ax+by=c is called __________.
y = mx+b is called slope-intercept form.
ax+by=c is called standard form.
In a system of equations that have no solutions, what word can be used to describe the lines on the graph? For example, "the lines are _______."
What is parallel.
What is the solution to this system of equations?
What is "no solution".
What is the solution to this equation?

What is n can be any real number (or there are infinitely many solutions).
A farmhouse shelters 11 animals. Some are goats and some are ducks. Altogether there are 34 legs. How many of each animal are there?
In slope-intercept form (y=mx+b), what does the "b" represent on a graph?