f(x) = 2x + 1
Find f(3)=
7
Does x < 3 use a closed or open circle?
Open
What is the Domain of this graph?

-2 < x < 1
Is the graph below a function?

No
What room number is this?
b1212
Look at the graph below. Evaluate f(4)
f(4) = 1
Solve for x
3x+ 8 = 11
x = 1
What are the x and y intercepts?

x intercept (1, 0)
y intercept (0, -3)
Do the list of ordered pairs represent a function?

No. -2 cannot have two different outputs
What day is the test?
Using the below table find g(7)

g(7) = 2

f = -70
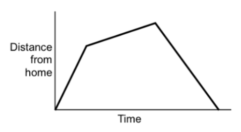
Write a story to match this graph

Juan started at home and left quickly. He the walked slowly. And then he came home.
Does the table below represent a function?

Yes. Every input has only one output.
What is the principal's name?
Mr. Beausoleil
f(x) = 2x2 + 5 find f(3)
23

r = -2
Which line is the fastest? AND how do you know?
Does the mapping diagram below represent a function?

No
What day does quarter 1 end?
Friday November 4th
What is the x intercept AND what does it mean in the context of the problem

(5, 0) After 5 hours the height is 0.
Solve the compound inequality

-2 < x < 5
What is the range?

-3 < y < 6
Is this a function?
Every kid in the class gets assigned a number 1-4
Yes, each kid is different.
It is ok that there are people with the same number.
What is my name. Must be correct spelling.
Becky Starr