Round to the nearest tenth
cos(71)
.3
Find the trig ratio for sina

4/5
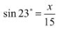
Solve for x (to the nearest tenth)

5.9
Find <A
tan-1(7/12)=<A
30 degrees
Fill in the blank:
Angle of Elevation is _______________ the horizontal line.
Angle of Depression is ______________ the horizontal line.
Above
Below
Round to the nearest whole number
sin-1(.6)
37
Find the trig ratio for tanb

3/4
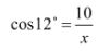
Solve for x, to the nearest tenth

10.2
Find <B (to the nearest degree)
cos-1(8/13) = <B
52 degrees
Susie is standing 204 feet away from a tree. Her line of sight to the top of the tree forms an angle of elevation of 25 degrees with the ground. How tall is the tree (round to the nearest foot)?
95 feet
Round to the nearest hundredth
tan(75)
3.73
Find the trig ratio for cosa

3/5
Give the ratio for sint

7/25
Find angle R (round to the nearest degree)

59 degrees
A seagull 255 feet in the air, spots a sandwich on the beach. The angle of depression to the sandwich is 17 degrees. What is the distance between the seagull in the air and the sandwich on the beach? Round to the nearest foot.
872 feet
Round to the nearest hundredth
tan-1(.9)
41.99
What is the expression that we use to remember the trig ratios?
SOH CAH TOA
Find y (to the nearest foot)
23 ft
Find angle A (to the nearest degree)

30 degrees
Joe is climbing a ladder that is 12 feet long. The ladder is 8 feet from the base of a garage, what is the angle formed by the ladder and the ground? Round to the nearest degree.
48 degrees
Use your calculator and round to the nearest TEN THOUSANTH
sin41
.6561
When we are using tangent, what two sides are used in the trig ratio?
opposite over adjacent
Find x (to the nearest whole number)

33
Find both missing angles (to the nearest number)

<I = 53 degrees and <K = 37 degrees
A helicopter is flying at an altitude of 3500 feet. If the horizontal distance between the helicopter and the airport is 2650 feet, find the angle measure from the helicopter to the airport. Round to the nearest whole number.
53 degrees