(Vocabulary)
The answer to a division problem.
There are two Trig identities with this title.
Quotient
cos (120o)
-1/2
sec^2 theta (1-sin^2 theta)
1
Solve for theta in degree measure.
Use the interval [0, 360o].
sec theta -2 =0
theta =60^o,300^o
Find the value of the input when
f(x)=28
f(x)=2x^2-4
x=4, -4
The inverse process to distribution.
Factoring
tan ((7pi)/6)
sqrt(3)/2
tan theta csc theta
sec theta
Solve for theta in degree measure.
Use the interval [0, 360o].
sin theta+sqrt2=-sin theta
theta = 225^o ,315^o
Expand the expression and write in standard form.
(2x-3)^3
8x^3-36x^2+54x-27
A mathematical statement that is true for any input.
Identity
The Quotient identity for the reciprocal of cotangent.
tan theta=sin theta/cos theta
Simplify to a number or single trig expression.
(1-sin^2 theta)/(csc^2 theta -1)
sin^2 theta
Solve for theta in degree measure.
Use the interval [0, 360o].
3tan^2 theta-1=0
theta = 30^o,150^o,240^o,330^o
Factor the expression completely.
4x^3-12x^2+8x
4x(x-2)(x-1)
Using actual values in place of the variable to show that two expressions are equivalent for a specific case.
Verify
What is this expression equal to?
-cos^2 theta +1
sin^2 theta
Simplify to a number or single trig expression.
cos theta + sin theta tan theta
sec theta
Solve for theta in radian measure.
Use the interval [0, 2pi].
2sin theta cos theta+sin theta =0
theta = 0, pi, 2pi, (2pi)/3,(4pi)/3
Simplify the expression. No negative exponents.
(y^-5(3x^4y^5)^2)/((3y)^0sqrt(x^4))
9x^6y^5
To reduce (a fraction, equation, etc) y using different arithmetic or algebraic techniques (cancel common factors, regrouping, combine like terms, etc).
Simplify
Pythagorean Identity with
sec^2 theta
tan^2 theta +1=sec^2 theta
Simplify to a number or single trig expression.
1-cos^2 theta/(1+sin theta)
sin theta
Solve for theta in radian measure.
Use the interval [0, 2pi].
2sin^2 3theta+sin 3theta-1=0
theta =pi/18, (5pi)/18,pi/2
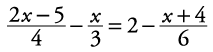
Solve for x.

x=31/4 or 7 3/4 or 7.75