Write the slope-intercept equation for a line with a slope of –2 that passes through the point (1,3)
y = –2x + 5
Is the following set of ordered pairs a function? Why or why not?
(-3, 2), (-2, 4), (-1, 1),(0, 0), (1, 1), (2, 4), (-3,4)
No, the x-values repeat with different y-values
What is the vertex of the following function
y=|x|-4
(0, -4)
Faith started the day with 120 pieces of candy and it's time to trick or treat. It is Halloween so she knows her neighbors are going to give her even more pieces of candy throughout the night. She can use the following equation to determine the total pieces of candy that she will have at the end of the night with p representing every house that she tricks or treats at.
c=15h+120
What is the slope of the linear model? What does the slope represent in the context of the problem?
slope is 15
every house she goes to will give her 15 more pieces of candy
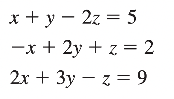
What is the solution to the following system of equations
(1,2)
Multiply
(-3x-6)2
9x2+36x+36
f(x) = x - 6
g(x) = 2x + 5
What is f(3) - g(2)?
-12
What is the axis of symmetry of the following function?
f(x)=-2|x-4|+15
x=4
Tylie's parents are saving to buy a new car for her 16th birthday. The function y=125x+3200 represents the relationship between the number of months her parents have been saving and the amount in their account.
What is the slope and y-intercept? What do they represent?
slope: 125 which means they add $125 a month
y-intercept: 3200 which is what they started the account with
Use your calculator to find the solution to the following system:
y=2x+2
y-x=-1
(-3,-4)
SIMPLIFY
(2x^5y)/3
Find the domain and range:

Domain: [-7,5)
Range: [-3,1)
Find the y-intercept and the symmetry point:
y=|x-3|-5
y-intercept: (0,-2)
symmetry point: (6,-2)
Nate is draining his pool for the winter. There are 240 gallons in the pool and it is decreasing at a rate of 20 gallons per hour. Write an equation to represent the relationship between the amount of water in the pool and the number of hours the pool has been draining.
Define your variables!
x=time in hours
y=gallons in the pool
y=-20x+240
Solve the following systems of equations
no solution
⅔
Name the parent function and the transformations from the parent function
-1/2 sqrt(x+4)-10
Square Root Function
reflection over x, vertical shrink by 1/2, left 4, down 10
Graph f(x)= -|x-2|+3

The table shows the income for an employee over his first 8 years of work. Find the linear regression equation and determine if the model is a good fit.
y=2714x+41461
yes because the correlation coefficient is .992

(1,2,-1)
Write the equation of the line that has a y-intercept of -15 and an x-intercept is 5 in ALL three forms of a line
y + 15 = 3 (x-0) OR y - 0 = 3 (x-5)
y = 3x – 15
3x - y = 15
If f(x)=x2-8x+15, find f(x)=0
x=5,3
Write an equation for the following function:

f(x)=1/2 |x-1|-2
To estimate the ages of trees forest rangers use a linear model that relates tree diameter to age. The model is useful because tree diameter is much easier to measure than tree age (which requires special tools for extracting a representative cross-section of the tree and counting the rings). Use the data in the table below collected for a certain variety of oaks to answer the following question.
Estimate the age of an oak tree whose diameter is 18 inches
116 years

A small pizza costs $5, a liter of soda costs $1, and a salad costs $3.