Celluar Reproduction
Cell Differentiation
Cell Cycle Phases
Cell Cycle Checkpoints
DNA replication
100

This is the first event in cell division that occurs during interphase and involves copying genetic material.

Answer: What is the replication of each chromosome?


100

Process 2 Is an example of this.

What is cell differentiation?

100

This phase of the cell cycle is responsible for DNA replication, ensuring each new cell receives an identical copy of DNA during mitosis.


 

What is the Synthesis phase?

100

Cancer cells differ from normal cells because they cannot stop at checkpoints through the cell cycle and are likely to do this instead.


 

What is repeat the cell cycle continuously?

100

The complementary strand to 5' ATCGTCATC 3" 

What is 3' TAGCAGTAC 5' ?

200

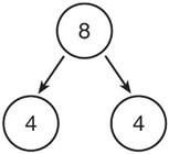
This diagram represents the production of cells with the same chromosome number after mitosis.


200

Cells differentiate due to this reason.

What is specific genes on the DNA are activated?

200

These are the four stages of mitosis that must be arranged in the correct order from prophase to telophase.

200

Checkpoints skipped during the cell cycle or mutations during DNA replication lead to this.

What is Cancer?

200

This enzyme that helps unwind or unzip the DNA molecule.

What is Helicase?

300

The Cell spends about 10% it's life cycle undergoing this.

What is the mitotic phase?

300

The activation of these makes different type of cells have different structure/functions.

What are genes?

300

This phase of the cell cycle that is most affected by interrupting DNA synthesis. 

What is the Synthesis (S) phase?

300

A cell dividing uncontrollably leads to the formation of this in your body. 

What is a tumor?

300

DNA Replication results in one old and one new strands.

What is semi-conservative model?

400

A human body/somatic cell will have this many pairs of chromosomes.

What is 23 pairs?

400

Neurons and muscle cells are different because of this.

What is cell differentiation? or What is specific genes are activated?
400

A cell spends more time replicating it's DNA than separating the nucleus.

What is True?

400

There are these many check points during the cell cycle.

What are three checkpoints?

400

After unwinding the DNA, this enzyme adds the correct bases to form the complementary strand in the 2nd step.

What is DNA polymerase? 

500

A mother cell will result in this after undergoing Mitosis.

What are two daughter cells?

500

A cell that has not specialized and has the potential to be any type of cell is called this.

What is a stem cell?

500

The phase you would see most cells in if you were to take a cell sample of an organism. 

What is interphase?

500

The final check points ensure that this has happened?

What is the chromosomes are lined up in the middle during metaphase?

500

DNA replication ensure that all your cells have the same this.

What is genetic material?
M
e
n
u