Fill in the Blank: An angle is the shape formed by two ________ that share a common __________.
rays ; endpoint
This is the formula for the area of a rectangle.
A = length x width
What symbol is this?
Ray
These are the days of the week that Ms. L and Ms. Walters hold office hours for Geometry
Tuesday and Thursday
I run, but I have no legs. What am I?
A nose
These are the four basic types of angles.
Acute, Obtuse, Right, and Straight
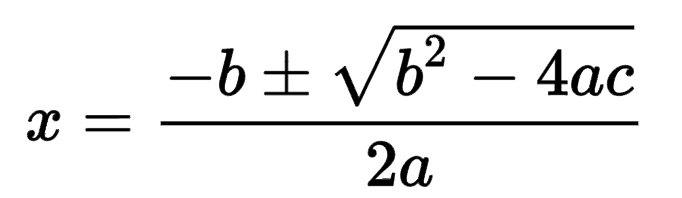
What formula is this?

The Quadratic Formula
What symbol is this?
Angle
Fill in the Blank: Homework is graded based on _______.
Completion
What has keys, but can't open locks?
A Piano
Classify this angle

Obtuse
This formula is used to solve for sides of right triangles. Named after the Greek mathematician Pythagorus, its is called the Pythagorean Theorem.

What symbol is this?

Congruent
This is the number of weeks an assignment/mastery check will stay open on PowerSchool (meaning that you can redo something for an improved grade or submit missing work)
2 Weeks!
What room do ghosts avoid?
The Living Room
Fill in the Blank: A line is also called a ________ angle meaning it has a degree value of ________.
straight ; 180 degrees
What formula is this?
Mean
This is the geometry term that means "identical in measure"
Congruent
This is where you are responsible for submitting physical copies of your homework/missing assignments.
The folder on the wall/rainbow folder on the wall
What begins with T, finishes with T, and has T in it?
A Teapot
Name all three angles in this diagram
Angle XUY
Angle YUZ
Angle XUZ
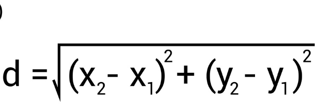
State the Distance Formula

This is the term that describes points that co-exist on the same straight line
This is the time that class begins on FRIDAYS
8:46am
What belongs to you, but other people use more?
Your Name