A perpendicular line that extends from the vertex of a triangle to the other side.
What is an ALTITUDE
This triangle similarity theorem says that if all three sides of a triangle are proportional, then the triangles are similar.
What is SIDE-SIDE-SIDE (SSS) Similarity?
The difference between a dilation and a rigid motion is this
What is dilations keep same shape but change size?
55 increased by 40%
What is 77
A line segment extending from the MIDPOINT of one side of a triangle to the MIDPOINT of the other side
What is a MIDSEGMENT
Solve for X.

x = 33.3
This triangle similarity theorem says that if two sides of a triangle are proportional and the INCLUDED angles are congruent, then the triangles are similar.
What is SIDE-ANGLE-SIDE (SAS) similarity?
In the diagram below, figure 1 is congruent to figure 2, and figure 2 is similar to figure 3. Which sequence of transformations maps figure 1 onto figure 2, and then figure 2 onto figure 3?

What is a rotation followed by a dilation?
25 decreased by 10%
What is 22.5
The theorem that says all three angles of a triangle must add to equal 180 degrees
What is Triangle Sum Theorem
Solve for y.

x = 8
This triangle similarity theorem says that if two angles are congruent, then the triangles are similar.
What is ANGLE-ANGLE (AA) Similarity?
Triangle XYZ was DILATED to form Triangle GHJ. If XY=10 and GH=20 and angle J = 70 degrees, what is the measure of angle Z?
What is 70 degrees?
A game normally cost $125.00, but Isabel used a coupon and got the game for $67.10. What was the percent decrease in price?
What is 53.68%
A triangle with two congruent sides and two congruent base angles
What is an Isosceles Triangle
Solve for z

z = 10
Which of the following would be enough to prove that triangle RFD is similar to triangle ACB if
(RF)/(AC)=(FD)/(CB)

What is
angleF cong angleC
Triangle XYZ has been dilated from center O to form triangle DEF. If the length of XY = 2a, what is the length of DE?

What is 4a?
Sabrina wants to design a t-shirt with a picture of her school on the front of it. She discovers that the new picture will need to be 6% of the actual size of the school to fit on the shirt. If the height of the school on the shirt is 1 foot and 6 inches, how tall is her school in real life rounded to the nearest hundredth?
What is 25 feet
A transformation that does not change size or shape
What is a Rigid Motion
Solve for x.

y = 9.6
What other information is needed to prove SAS SIMILARITY?
Given:
(AB)/(XY) = (BC)/(YZ)
What is
angleB cong angleY

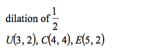
What is U(1.5,1), C(2,2), E(2.5,1)?
Triangles CDF and AVM are similar. If CF=12 and AM=15, how much greater than the length of CDis the length of AV?
What is 25%
This is the difference between Congruence and Similarity.
Congruence means same size and shape and Similarity means same size different shape