Is this proportional or not? Explain why or why not.

YES, IT'S PROPORTIONAL
It's a straight line and goes through the origin (0,0)
What is the constant of proportionality in this graph?

2
The table shows the weight of different number of bananas. What is the weight of 1 banana?

0.32 pounds
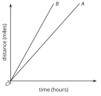
The graph shows the cost of pounds of two different brands of rice. Which line (line A or line B) shows the more expensive brand of rice? Explain.

Line A shows the more expensive brand of rice because:
- The cost is $6 per pound vs Brand B is only $4 per pound
- the line is steeper
-The price is higher for all pounds of rice than brand B
Is this proportional or not? Explain why or why not.
y=5.325x
YES PROPORTIONAL
The constant of proportionality is 5.325 and there will be a common ratio between y and x that will always be 5.325
The graph shows the distance that a train traveled over a period of time. What is the constant of proportionality? What does it represent in the context of the problem?

5 miles per minute
*DOUBLE POINTS*
How much do 3 bananas weigh? 12 bananas?

3 bananas weigh 0.96 pounds
12 bananas weigh 3.84 pounds
A person mixes white paint and blue paint to make different shades of blue. Which of these lines shows the mixture of the darkest shade of blue? Explain.

Mixture 2 has a higher ratio of blue paint to white paint
Is this proportional or not? Explain why or why not.
y=5x-4
NOT PROPORTIONAL
Explanation 1: If we plug 0 in for x the y value will be -4, so (0,0) is not a point on this graph, so it can't be proportional
Explanation 2: (0, -4) (1, 1) (2, 6) are all points on this line and there is not a constant ratio between x and y.
What is the constant of proportionality?

1/5
Jeilianys earned $54.50 for working 5 hours. What is the constant of proportionality? What does it mean in this situation?
$10.90 per hour
Below is a graph of different friends walking. Which line shows the friend that was walking the fastest? Explain.

The black line shows the friend walking the fastest because:
- that line is the steepest
-That line shows a shortest amount of time to travel the same distance as the others
Is this proportional or not? Explain why or why not.

NOT PROPORTIONAL
There is not a common ratio between y/x for all the values in the table.
What is the constant of proportionality shows in this graph?

2.5
What is the constant of proportionality of line C?

5/8
The graph shows the distance that Lin and Andre travel after a certain number of minutes. Who is traveling slower? Explain. 
Andre is walking slower because:
- His line is flatter than Lin's line
- The C.O.P is 0.25 km per minute vs 0.3 km per minute
- Andre doesn't travel as far as Lin does in the same amount of time.
Is this proportional or not? Explain why or why not.

YES, ITS PROPORTIONAL
There is a constant ratio between x and y. Each ratio of y/x simplifies to 8/5
*DOUBLE POINTS*
What is the constant of proportionality of this graph? What does it mean in the context of this situation?

The constant of proportionality is 0.5 it means $0.50 per ounce of olive oil.
What is the constant of proportionality of B?
5/4
The graph shows how far two cars travel after a certian amount of time. Which car is traveling faster? Explain.

Car B is traveling faster because
- Line B is steeper than line A
- Car B travels further than Car A in the same amount of time