Skibidi
Ohio
Rizz
67
41
Random Trivia
100
The French and Indian War was a significant conflict between which two countries?

France and Great Britain

100

Providing food and housing for British soldiers stationed in the colonies is known as....

The Quartering Act

100

Who was the primary author of the Declaration of Independence?

Thomas Jefferson

100

What was the significance of the Battle of Lexington and Concord?

It marked the beginning of the Revolutionary War.

100

What was Deborah Sampson known for?

She disguised herself as a man to help fight.
100

Who famously sings: "Boys only want love if it's torture, Don't say I didn't, say I didn't warn ya"?

Taylor Swift

200

Who proposed the Albany Plan of Union?

Ben Franklin

200

Who were minutemen?

Colonial militia members who could be ready to fight at a moment's notice.

200

T/F: African American forces were divided during the Revolutionary War. Some chose the British who promised freedom while others served in the Continental Army, hoping for the same freedom or liberty.

True

200

List two advantages of the British during the Revolutionary War

Answers may vary: more experienced, more equipped

200

What did the Treaty of Paris (1783) do?

It effectively ended the Revolutionary War.

200

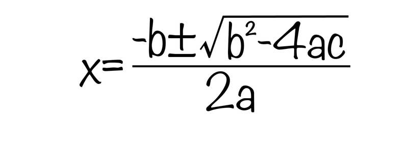
What is this?

Quadratic Formula

300

What was the impact of the French and Indian War on Native Americans?

Many tribes lost land

Some were forced to negotiate

Others felt betrayed

300

T/F: South Carolina was the only state that did not send representatives in the First Continental Congress.

FALSE
300

Which battle was the turning point of the war?

Battle of Saratoga

300

What was the significance of Common Sense?

It convinced many colonists to support independence from Britain

300

Where did General Cornwallis surrender?

Yorktown, Virginia

300

How many branches does the US government have?

3

400

_______________________ were new taxes on goods the colonies imported, like glass, paper, paint, and tea

Townshend Acts

400

The (1st) Treaty of Paris was signed in what year?

(No, you do not need to know this for the test)

1763

400

Which act was put into place as a result of the Boston Tea Party?

Coercive/Intolerable

400

T/F: British influence would be contained and colonists would have more say within the government as a result of the Treaty of Paris.

FALSE

400

Which Continental Congress was this?

Sent the Olive Branch Petition to King George III, offering one last chance for peace.

Second Continental Congress

400

Where can you find the Colosseum?

Rome, Italy

500

What were committees of correspondence?

Groups that helped colonies share information and plan protests.

500

Which major city became a battleground in the war?

Boston
500

What is the purpose of the premable in the Declaration of Independence?

Explained why the colonies were declaring their independence from Britain
500

List all 13 colonies

...

500

Which Continental Congress was this?

Began printing paper money to fund the war effort.

Second Continental Congress

500

What facial feature was artist Frida Kahlo known for?

Her unibrow
M
e
n
u