What are the next three terms in the sequence?
5, 10, 15, 20, 25, ...
30, 35, 40
What is the slope of a horizontal line?
m = 0
What is the general equation for a line in
slope-intercept form?
y = mx + b
Write an equation for the line in the graph in slope-intercept form.

y = -1/2x + 10
If a system of linear equations has no solution, the lines must be ____________.
parallel
What are the next three terms in the sequence?
4, 12, 36, 108,
324, 972, 2,916
What is the slope of a vertical line?
m = undefined
What is the slope of the linear equation below?
y = -5x + 3
m = -5
Write a function rule for finding the daily pay, p, in the following situation. A bus driver gets paid $100 each day plus $0.20 per mile, m.
p = 0.20m + 100
If a system of linear equations has infinitely many solutions, the lines must be ___ ____ ____ .
the same line
What is the common difference of the arithmetic sequence below?
-12, -9, -6, -3, ...
d = 3
What is the slope of the line?
m = -2
What is the y-intercept of the linear equation below?
y = 1/2x + 4
b = 4
Write an equation in slope-intercept form for the linear data in the table.

y = 2x
What is the solution to the system of equations in the graph?

(3, -1)
What is the common ration of the geometric sequence below?
5, -10, 20, -40, ...
r = -2
What is the slope of a line that contains the points
(2, 1) (4, -2) ?
m = -3/2
Describe and correct the error.

The slope is 3, and the y-intercept is -6.
What is the equation in slope-intercept form for the line in the graph?

y = 1/3x - 4
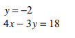
Find the solution of the system of equations by substitution.

(3, -2)
Find the first four terms of the sequence represented by the expression.
2n + 3
5, 7, 9, 11
Find the slope of a line that is perpendicular to the line containing the points (-2, -1) and (2, -3).
m = 2
The graph shows the distance y (in miles) that a bus travels in x hours. Find and interpret the slope.

m = 60
The slope is the speed of the bus: 60 miles per hour.
What is the equation in slope-intercept form for the line in the graph?

y = -1/2x + 3
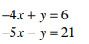
Solve the system of equations by elimination.

(-3, -6)