x^3 * x^6
x^9
(x^4)^5
x^20
x^7/x^3
x^4
Is this in scientific notation: 3.2 x 10^4
Yes
NEED TO BE THE SAME/EQUIVALENT
2x^5 * x^7
2x^12
4(y^3)^2
4y^6
(2x^6)/(x^5)
2x
Which of the following is written in CORRECT scientific notation?
A.) 34.5 x 10^5
B.) .000456
C.) .5 x 10^-3
D.) 8 x 10^5
D
When multiplying in scientific notation, you need to ___________ the exponents.
Add
(4f^8)(6f^4)
24f^12
(xy)^6
x^6y^6
(8x^10)/(4x^3)
2x^7
Write the following number is scientific notation:
3469000
3.469 x 10^6
When dividing in scientific notation, you need to ____________ the exponents.
(8r^5)(2r^7)
16r^12
(4w^5)^2
16w^10
u^2/u^9
1/(u^7)
Write the following in standard notation:
4.623 x 10^-6
0.000004623
Solve. Write your answer in scientific notation.

5.09 x 10^6
(7s^5p^3)(3s^6p^5)
(21s^11p^8)
(8w^3y^7)^0
1
(4m^4)/(8m^8)
1/(2m^4)
For each of the following, say what is wrong with the notation:
a. 4.6 x 1000
b. 21.25 x 10^3
c. .827 x 10^-5
a. not a base ten
b. Not between 1 and 10
c. Not between 1 and 10
Solve. Write your answer in scientific notation.
3.2 x 10^4
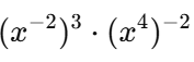
Solve.

12x3
Solve.

x-14 or 1/x14
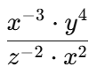
Simplify. 
z2y4/x5
Convert this to scientific notation:
542.5 x 10^8
5.425 x 10^10
Solve. Write your answer in scientific notation.

1.302 x 10^6