Solve for x!
5x+5=4x-4
x = -9
How many solutions does the following equation have?
5x - 1 = 5x - 1
INFINITE solutions
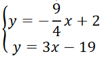
What is the solution to the system below?

(2, 3)
Solve for R!
(2R)/3=4R-1
R = 3/10 or 0.3
How many solutions does the following equation have?
3.5+4x-1.5=-3x-2+7x
NO solutions
Which ordered pair is a solution to the system of equations pictured below?

(8 , 5) or (4, -7)
(4 , -7)
Solve for y!
−(7−y)+3(y+1)=12
y = 4
How many solutions does the following equation have?
8-0.25x=-1/4x+16/2
INFINITE solutions
What does the solution mean in the following graph of a system of equations?

$150 earned every 9 hours
Write the equations for BOTH lines below (y = mx + b)

y = -1x + 5
y = 1x + 1