
Find the VOLUME of the cylinder (Use 3.14 for pi). Round to the nearest hundredths.
Volume = 197.82 in3

Find the SURFACE AREA of the rectangular prism.
Surface Area = 872 yd2
What's the formula for the surface area of a pyramid?


Find the SURFACE AREA of the sphere (Use 3.14 for pi). Round to the nearest tenths.
Surface Area = 2,122.6 cm2
What is the definition of geometry?
The study of shapes and figures.
Find the SURFACE AREA of the cylinder (Use 3.14 for pi). Round to the nearest tenths.
Surface Area = 502.4 cm2

Find the VOLUME of the triangular prism.
Volume = 304 yd3

Find the SURFACE AREA of the pyramid. Round to the nearest hundredths.
Surface Area = 105.75yd2

Find the VOLUME of the Cone (Use 3.14 for pi). Round to the nearest tenths.
Volume = 569.9 in3
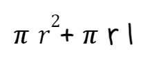
The formula below belongs to which figure. Which formula is it?
Surface Area of a CONE

Find the VOLUME of the cylinder (Use 3.14 for pi). Round to the nearest hundredths.
Volume = 883.16 m3

Find the SURFACE AREA of the triangular prism.
Surface Area = 692 in2

Find the VOLUME of the pyramid. Round to the nearest hundredths.
Volume = 213.33 in3

Find the VOLUME of the sphere (Use 3.14 for pi). Round to the nearest tenths.
Volume = 696.6 cm3
The formula below belongs to which figure. Which formula is it?

Volume of a PYRAMID

Find the SURFACE AREA of the cylinder (Use 3.14 for pi). Round to the nearest hundredths.
Surface Area = 785.00 ft2

Find the VOLUME of the rectangular prism.
Volume = 1,584 ft3

Find the VOLUME of the pyramid.
Volume = 75 ft3

Find the SURFACE AREA of the cone (Use 3.14 for pi). Round to the nearest tenths.
Surface Area = 502.4 yd2
What's the formula for the surface area of a triangular prism?

A cylinder shape tank at the Aquarium is 24 feet deep and has a radius of 18.8 feet. Find the volume of the tank. Use the approximate of value of pi, that is 3.14 and round your answer to the nearest tenth if necessary.
The volume of the tank is 26635.2 ft3
A rectangular prism has a width of 4 cm, a height of 8 cm, and a depth of 7 cm. What is the surface area of the prism?
Surface Area = 232 cm2

Find the SURFACE AREA of the pyramid.
Surface Area = 2684 cm2
Why do we divide the volume of a cone by three?
The volume of a cone would be one-third of the volume of a cylinder.

What is surface area?
What is volume?
Surface area is the amount of area covered by the surface of the 3D figure. (like the wrapper)
Volume is the amount of space IN the 3D figure.