This is the year that the Freshmen will be graduating
What is 2027?
This category is used to find the area of different objects and is first seen in Calc II
What is Integration?
This is the force that is constantly acting upon every object on a planet
What is Gravity?
This is a Grocery store located off of Park Avenue and Highland Street
What is Price Chopper?
This building has no windows and is very ugly building, but is very important because there phone number is 911
What is the Worcester Police Department?
_____ Beach was instrumental in helping America win WWII and is also known as D-Day
What is Normandy Beach?
This software is used both as a calculator and to help students graph in the 2-Dimensional Plane
What is Desmos?
____ ____ ____states that when a body is acted upon by a net force, the body's acceleration multiplied by its mass is equal to the net force
What is Newton's Second Law?
(Very Good) Burger Bar located near Faraday Hall
What is The Fix?
This tool is used heavily in math courses for its graphing and computational abilities
What is a Graphing Calculator (TI-84)?
This is the year that America was founded
What is 1776?
This system is used to store a large variety of numbers and is used heavily in Linear Algebra
What is a Matrix?
The name of this instrument is: 
What is a Triple Beam Balance?
This park is across the street from Atwater Kent and is between Park Ave and Grove Street
What is Institute Park?
This is the year that WPI was founded
What is 1865?
This is the year that the Cold war ended
What is 1991?
This number is very popular at WPI and is used in calculating the area and circumference of a circle
What is PI?
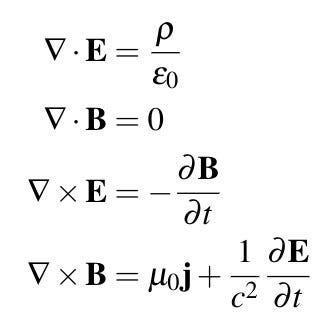
These equations are known as ___ ___

What is Maxwell's Equations?
This stadium was recently built to house the "Woo Sox"
What is Polar Park?
There are 6 major forms that energy can be: heat, mechanical, radiant (Light), electrical, chemical, _____
What is Nuclear?
This is the year that Fuller was built at WPI
What is 1990?
This software is used Calculus and is useful for simulating 3D shapes, along with doing computational work
What is Matlab?
This electrical component is used to store charge/energy and can be polarized/non-polarized
What is a Capacitor?
This place in Worcester houses many large events, especially those related to the Worcester Railers (Hockey Team)
What is the DCU Center?
This skyscraper is used to house one of the largest newspaper companies in Worcester
What is the Telegram and Gazette?