State the solution to these simultaneous equations.

Answer:
x=0 and y=4
Express each of the following using positive indices:
b-4
Answer:
1/b4
Solve the following inequalities:
3x > 30
x > 10
Solve the following linear equation:
x - 5 = 3
Answer:
x =8
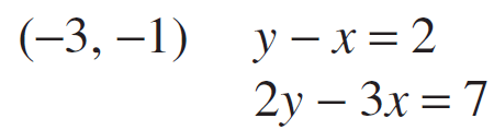
Solve these pairs of simultaneous equations using the method of substitution:
2x + y = −7 and y = x + 2
Answer:
(-3, -1)
Use substitution to check if the given pair of coordinates is a solution.

Answer:
No
Express each of the following using positive indices:
5/x-3
Answer:
5x3
Solve the following inequalities:
x/2 < 20
Answer:
x < 40
Solve the following equations:
4x + 5 = 17
Answer:
x = 3
Solve these pairs of simultaneous equations using the method of substitution:
2x + y = 1 and y = x − 5
Answer:
x = 2, y = −3
Use Substitution to check if the given pair of coordinates is a solution:
Answer:
Yes
Express each of the following using positive indices:
3x-4y2
Answer:
3y2/x4
Solve the following inequalities:
3x + 4 > 13
Answer:
x > 3
Solve the following equations:
2x + 7 = 13
Answer:
x = 3
Solve these pairs of simultaneous equations using the method of substitution:
2x − 3y = −8 and y = x + 3
Answer:
(-1, 2)
Solve these simultaneous equations using a graphical method.
x - y = 1
x + y = 3
Answer:
x=2 and y=1

Express each of the following using positive indices:
2a3b2 /a5b3
Answer:
2/a2b
Solve the following inequalities:
3x + 5 > 20
Answer:
x > 5
Solve the following equations:
3(2x + 5) = 4x
Answer:
x = -15/2
Solve these pairs of simultaneous equations using the method of substitution:
y = −3x + 2 and y = 7x − 8.
Answer:
(1, -1)
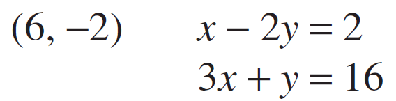
Solve the following simultaneous equations using the Elimination method.
Answer:
x=5 and y = -1
Express each of the following using positive indices:
4m-2n3 / 8m5n-4
Answer:
n7/2m7
Solve the following inequalities:
x/9 + 6 < 4
Answer:
x < -18
Solve the following linear equations:
4x-2/3 = 3x-1/2
Answer:
x = -17/4
Solve these pairs of simultaneous equations using the method of substitution:
3x − 2y = −9 and y = x + 4
Answer:
x = −1, y = 3