What type of ions does an acid produce when mixed with water?
Hydrogen ions (H+)
Which words in this sentence is the adverb?
The heavily laden donkey trudged wearily along the track.
heavily and wearily
Pythagoras theorem is used to etermine what?
The length of sides on a right angle triangle.
The UDHR stands for:
Univeral Declaration of Human Rights
How many planets are in our solar system?
9
A base, when added to water, produces what type of ions?
Hydroxide ions (OH-)
Who wrote "The Tempest"?
William Shakepeare.
Which trigonomic ratio (sine, cosine or tangent) would we use to find the length of w?

cosine:
cos(49) x 11
During the Dawn Raids, which sector of NZ society was discriminated against?
The Pacific community
The word mischievous is often pronounced as
"mis-cheev-ee-ous"
What is wrong with this pronunciation?
there is no ee sound after the v
Amps in an electrical circuit measure...
the current, i.e. the amount of elecrical flow
"Life is an onion, layered and complex" is an example of which poetic feature?
metaphor
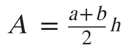
What is the area of this trapezoid playground?



6 x 6 = 36m2
What, specifically, is Fair Trade?
A trading system that aims to ensure farmers and workers in developing countries receive better prices, liveable wages, and improved working conditions
What do the words latitude and longtitude refer to?
A system of imaginary lines that form a global grid, used to describe the precise location of any place on Earth's surface. Latitude lines run West to East, longtitude lines run North to South.


2 amps
Who or what are the protagonist and antagonist in a story?
The protagonist is the main character - and the antgonist is the character who is creating difficulties for them
What is the rule for this pattern?

M = 2P + 1
Name one positive and one negative impact of colonisation on indigenous people.
various answers including:
positive: improved technology and infrastructure, education,
negative: loss of land, loss of culture, introduction of new diseases
What unit of money is used in Ireland?
Euros. They are still part of the European Union (EU)
What is the function of the respiratory system?
To enable gas exchange. the process of taking in oxygen (O₂) and removing carbon dioxide (CO₂) from the body.
What is the difference between analysing and evaluating texts?
analysis involves taking a text apart to examine its components, such as language, structure, and themes, to understand how they work and why the author used them.
Evaluation involves making a judgment about the text's overall success, merit, or effectiveness based on the evidence found during analysis..
Complete this table:


What was the oficial name of the political party Hitler lead from 1920-1945?
National Socialist German Workers' Party
How many continents are there in the world?
There are seven continents: Africa, Antarctica, Asia, Australia, Europe, North America, and South America.