3/4 + 5/8
1 3/8
What does the gradient of a line represent?
The gradient tells you how steep the line is — it’s the change in y for every 1 unit change in x. (“Rise over run.”)
Find the hypotenuse of a right-angled triangle with side lengths of 6 cm and 8 cm.
10cm
Find 15% of $240.
0.15×240=36
Answer: $36
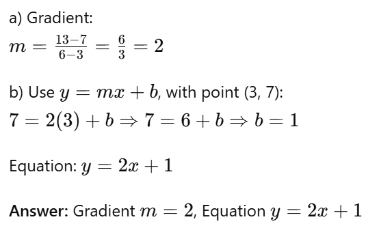
A line passes through (3, 7) and (6, 13).
a) Find the gradient.
b) Write an equation for the line.
Answer: Gradient m=2
Equation y=2x+1

2 1/3 - 5/6
1 1/2 
Write the equation of a line with gradient 2 and y-intercept is −3.
Standard form is y=mx+c therefore
y=2x -3
A right-angled triangle has a hypotenuse of 13 cm and one side 5 cm. Find the other side length.
12cm

Express 45 out of 60 as a percentage.
75%

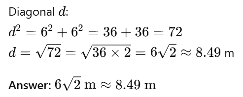
A square pool has sides of 6 m. Find the diagonal distance across the pool.
8.49 m

7/9 div 2/3
1 1/6
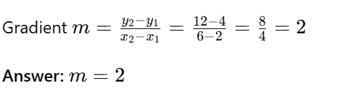
Find the gradient of the line passing through (2, 4) and (6, 12).
m=2

A drone is hovering 20 m above the ground and 15 m horizontally from the operator. How far is the drone from the operator?
25m
A pair of shoes costs $80 and is on sale for 25% off. What is the sale price?
Discount: 0.25×80=$20
Sale price: 80−20=$60
Answer: $60
A shop sells a bike for $480 after giving a 20% discount. What was the original price?
Answer: $600 original price
A 20% discount means the customer pays 80% of the original price.

Convert
7/20 into a decimal
0.35

A line passes through (1, 3) and (4, 9). What is its gradient?
m=2

A rectangular garden is 9 m long and 12 m wide. What is the diagonal distance across it?
15m
A shop buys a phone for $500 and sells it for $650. What is the profit amount?
Profit = selling price − cost price
Profit = 650−500=$150
Answer: $150 profit
A triangle has sides 9 cm and 12 cm and a hypotenuse of 15 cm.
Use Pythagoras to check if it is a right-angled triangle.
Answer: Yes, it is a right-angled triangle ✅
Order from smallest to largest 0.45, 48%,
3/5

Determine whether the following relationship is linear or non-linear:
y=3x^2 + 5
Non linear
A linear equation has only x to the power of 1. This has x to the power of 2
A ladder 5 m long leans against a wall. The base of the ladder is 1.2 m from the wall. How high up the wall does the ladder reach?
4.85 m up the wall

A laptop costing $900 increases in price by 10%. What is the new price?
Increase: 0.10×900=$90
New price: 900+90=$990
Answer: $990
Convert 5/8 to a decimal, then find 30% of that value.
Answer: 0.1875