Evaluate 10-5
0.0001
Find the missing angle

106
Find the co-ordinates of the y-intercept

(0, 1)
What is/are the mode(s) in the dot plot below?

10
How many secret herbs and spices are in KFC's secret recipe?
11
Write an expression for the perimeter

6x+6
Find the missing side

15cm
What type of graph is this?

Parabola/Quadratic
What is the range of this set:
1,4,-3,2,10,-29
39
What is escargot?
Snails
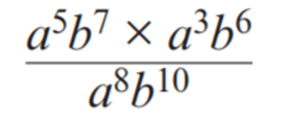
Simplify the Expression:

b3
Calculate the area

109.08cm2
Find the gradient
-0.5
What is the median of this set:
90, 86, 77, 85, 90, 28
85.5
At the start of 2023, what was the hottest chilli?
Carolina Reaper
Solve: 
x=3
Find the missing angle

28.96
ind the equation:

Y=3/4 x +1
What is the probability I pick a Jack out of a deck of cards, and then an ace without replacement
16/2652
Which fast food company has the most stores?
Subway (43,000ish)
What rule proves triangle ADE and triangle ACB are similar
AAA
Find the missing side

22.65
Find the equation of the linear line that passes through the points:
(-3, 5) and (5, -1)
y=-0.75x +275
The mean of 5 numbers is 10. Three of the numbers are 11, 9 and 8. The two missing numbers are the same. What are the two missing numbers?
11 and 11
Rocky Mountain Oysters are a "delicacy" in Canada. But what is it?
Fried Bulls Testicles