The code to produce the first six rows of a data set
What is head(data_set)?
Another word to say n-1
Degree of Freedoms
The red line from the point to the line is best known as 
What is error or residual?
Statistics and Parameters differences are? Some examples?
What are characteristics of samples and characteristics of populations. 
The code favstats()
What is the five-number summary? Min, Q1, median, Q3, Max. As well as mean, sd, and n
Outcome = model (mean) + error
Yi = y bar + ei

The missing number from the Anova Table
What is 11880.211 - 11049.331 = 830.88

The correlation Coefficient (rough estimate)
What is -0.5
The code cor()
What is correlation coefficient? Aka r
The General Linear Model


Which model is better at reducing error and why?
Height model because the F ratio is higher meaning it reduced more error. F takes into account degree of freedom which pre doesn’t
For each additional increase in GenderNum the expected/predicted thumb length …
What is an increase by 6.447
The z score for someone with a score of 70
What is 1.134. Code: zscore(data_set$Y)
What is data point (q), data set mean, and data set S.D? Calculates probability area of data point and below
This equation is better known as
What is Cohn D? It measures the effect one variable has on the other. Code: CohensD()
With this Anova table F would be?
What is 1816.862 (SS) / 64.925 = 27.984
The general linear equation is written
What is Thumbi = 58.256 - 6.447 Gendermale i + error i
The code dnorm (0, mean = 0, sd =1 )
What is 0.4.
The code for this ?
gf_point —> Scatterplot
gf_model —> best fitting model aka red line
The equation is best known as
What is the pre equation?
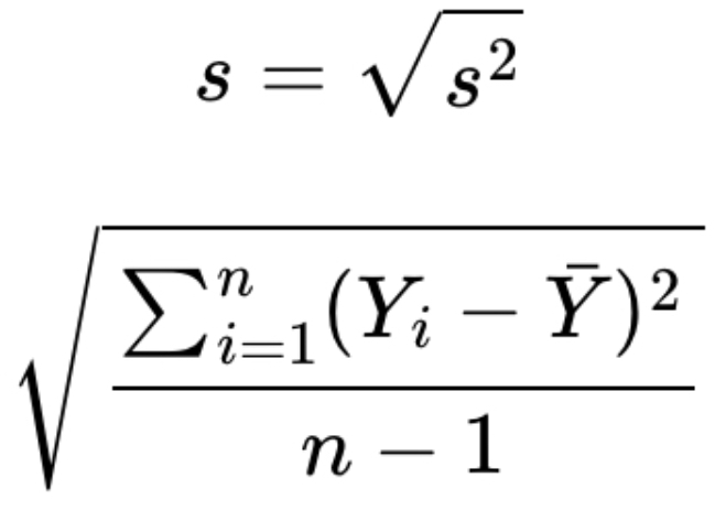
The standard deviation from this data set (hint a number is missing)
What is 181.113/198 = 0.915. Square root of that = .956
The error of someone with height of 70 and thumb length of 71
What is 71 = 63.87 + error
Error = 7.13
Using median and mean graph this and which has the highest thumb length
Depends on criteria. Mean it would be Medium. Median it would be short
The code for this
gf_histogram (~y, data = data_set) %>% gf_facet_grid(X~ .)
The standard deviation equation:
Start with SS, variance and then S.D
What is
Code: sd(data_set$Y)

____% of the variability in ______ can be explained by _____
What is 15.29, thumb, Height
The mean calories for Chickfila, chilis, Wendy’s
What is 160.2, 218.75, 328.91600
A researcher wants to know whether the type of study environment affects students test scores using either silence, background music, or noisy cafe. After a week of studying all the students take a test out of 100. What visualization type would you use?
What is faceted histogram, box plot, jitter plot, scatter plot