What does the graph of a system with no solution look like?
What are parallel Lines
Find the slope of a line passing through the points (14, 8) and (6, -2)
What is 5/4
Anything to the 0 power is
What is 1
Solve x + 15 = 3?
What is x = -12
Find the midpoint of the the points (4, 1) and (10, 5)
What is (7, 3)
Determine whether either of the point (0, –2) is a solution to the given system of equations.
y = 3x – 2
y = –x – 6
What is NO!
Change the equation to slope interest form
6x - 2y =8
What is y = 3x - 4
Simplify (2x2)3
What is 8x6
Find the value of p
96 = 8 (p + 8)
What is p=4
Find the missing side
What is c=7.2
Find the solution of the system
9x + 8y = -11
-3x - y = 7
What is (-3, 2)
Find the x and y intercept of 3x - 2y = 12
What is the x intercept (4, 0) and the y-intercept is (0, -6)
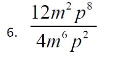
Simplify problem 6
3p6/m4
Solve the inequality -81<-9(a - 6)
If Madelin got a 92, 87, 95, and 75 on the first four tests what does she has to get in the fifth test to have an average of a 89?
What is a 96
Does this system have one solution, no solution or infinite solutions?
9x + 3y =6
y = -3x + 2
What is no Solutions
Write an equation of a line passing though the point (1, -1) with the slope of 4.
What is y=4x- 5
Simplify (5x3y0z2)2
What is 25x6z4
Solve
-164 = -4(7 + 8m) - 8
What is x = 4
What is the IQR of the box and wicker plot 
What is 24
Find the solution of the system
y = -2x + 1
4x + 4y = -8
What is (3, -5)
What line is perpendicular to x + 3y = 6 and travels through point (1,5)?
What is y = 3x + 2.
Simplify


The length of a rectangle is 2x+4 and the width of the rectangle is x+3. The perimeter is 32, find the sides of the rectangle.
What is 10 and 6
Find the distance between (–2, 1) and (1, 5)
What is 5.